mp-1020592/Sr4Li2Si4N8O/anharm

Equation of state

../../_images/fig_bm11.png

(a) Equation of state

Harmonic properties

../../_images/fig_bandos_pr96.png

(a) Phonon dispersion with participation ratio and DOS

../../_images/fig_thermo96.png

(b) Thermodynamic properties

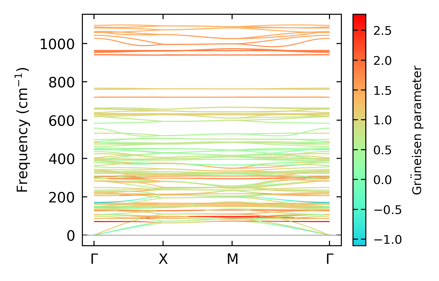
Grüneisen parameters

../../_images/fig_gru_all58.png

(a) Grüneisen parameters

../../_images/fig_gruneisen58.png

(b) Phonon dispersion with Grüneisen parameters

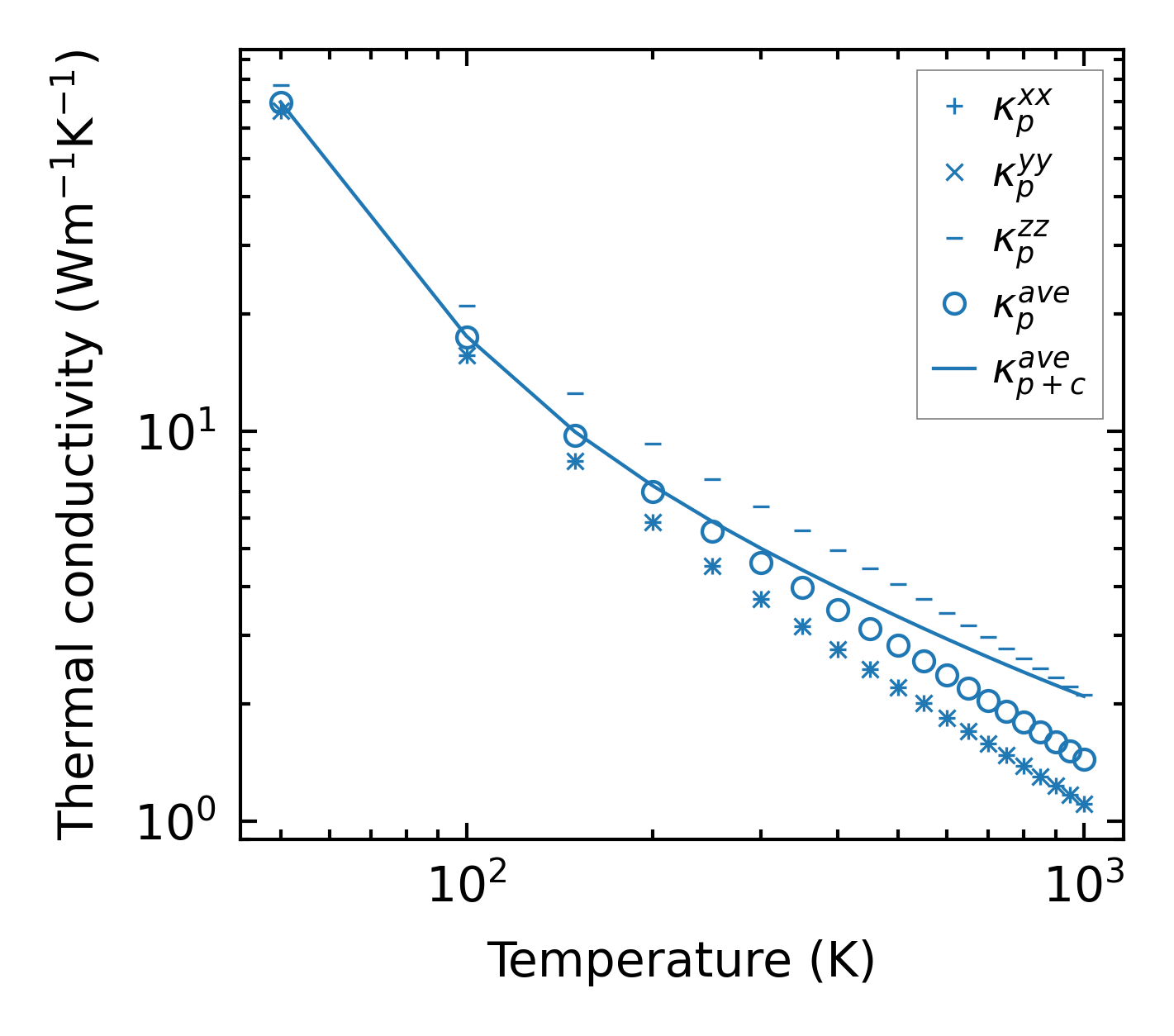
Thermal conductivity

3-phonon (LASSO) — q-mesh: 7x7x12, supercell: 1x1x2

../../_images/fig_kappa114.png

(a) Temperature-dependent lattice thermal conductivity

../../_images/fig_kappa_vs_grain_size60.png

(b) Peierls lattice thermal conductivity w.r.t grain size

Phonon lifetime and scattering rates

../../_images/fig_lifetime58.png

(a) Phonon lifetime due to phonon-phonon scattering

../../_images/fig_scat_rates58.png

(b) Phonon scattering rates

Cumulative and spectral thermal conductivity

../../_images/fig_cumu_frequency58.png

(a) Spectral and cumulative thermal conductivity w.r.t frequency

../../_images/fig_cumu_mfp58.png

(b) Spectral and cumulative thermal conductivity w.r.t MFP

Force constants

../../_images/fig_fc295.png

(a) Force constants w.r.t atomic distance

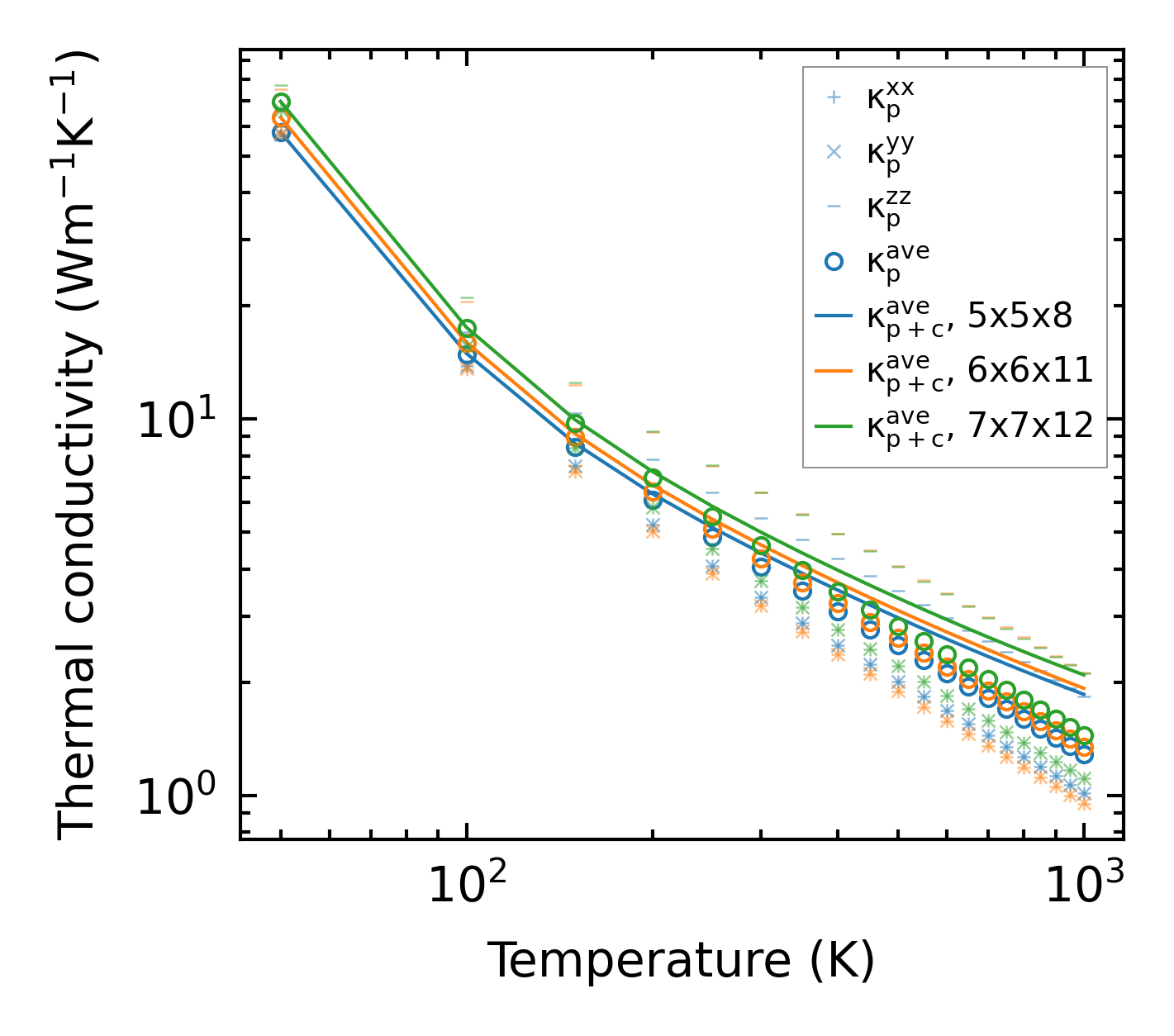
Summary

../../_images/fig_kappa115.png

(a) Temperature-dependent lattice thermal conductivity

../../_images/fig_times166.png

(b) Computation time