mp-1020110/Mg2SiO4/anharm

Harmonic properties

../../_images/fig_bandos_pr80.png

(a) Phonon dispersion with participation ratio and DOS

../../_images/fig_thermo80.png

(b) Thermodynamic properties

Grüneisen parameters

../../_images/fig_gru_all54.png

(a) Grüneisen parameters

../../_images/fig_gruneisen54.png

(b) Phonon dispersion with Grüneisen parameters

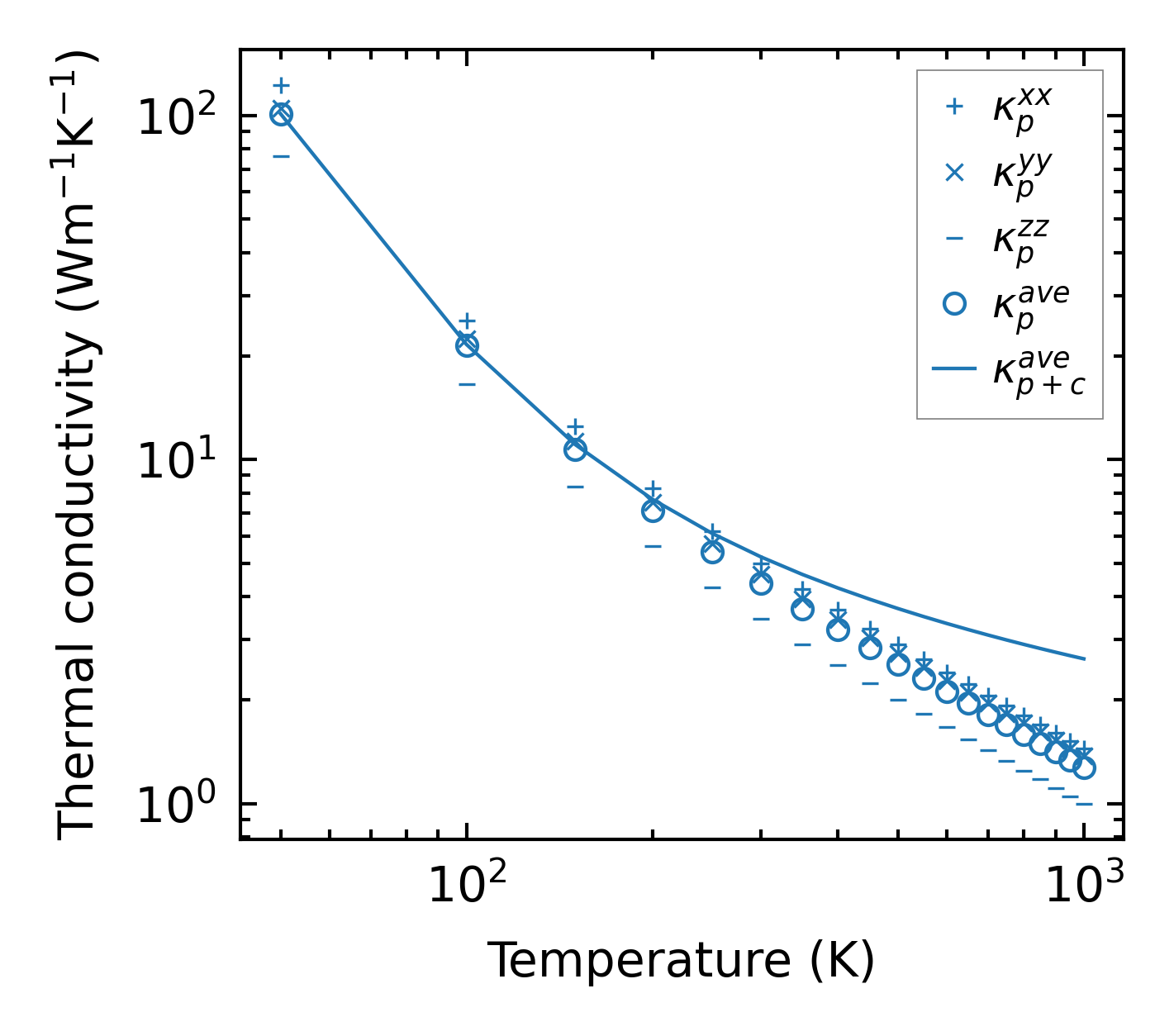
Thermal conductivity

3-phonon (LASSO) — q-mesh: 14x12x7, supercell: 2x2x1

../../_images/fig_kappa106.png

(a) Temperature-dependent lattice thermal conductivity

../../_images/fig_kappa_vs_grain_size56.png

(b) Peierls lattice thermal conductivity w.r.t grain size

Phonon lifetime and scattering rates

../../_images/fig_lifetime54.png

(a) Phonon lifetime due to phonon-phonon scattering

../../_images/fig_scat_rates54.png

(b) Phonon scattering rates

Cumulative and spectral thermal conductivity

../../_images/fig_cumu_frequency54.png

(a) Spectral and cumulative thermal conductivity w.r.t frequency

../../_images/fig_cumu_mfp54.png

(b) Spectral and cumulative thermal conductivity w.r.t MFP

Force constants

../../_images/fig_fc279.png

(a) Force constants w.r.t atomic distance

Summary

../../_images/fig_kappa107.png

(a) Temperature-dependent lattice thermal conductivity

../../_images/fig_times138.png

(b) Computation time