mp-1020109/LiMg3P3O11/anharm

Harmonic properties

../../_images/fig_bandos_pr79.png

(a) Phonon dispersion with participation ratio and DOS

../../_images/fig_thermo79.png

(b) Thermodynamic properties

Grüneisen parameters

../../_images/fig_gru_all53.png

(a) Grüneisen parameters

../../_images/fig_gruneisen53.png

(b) Phonon dispersion with Grüneisen parameters

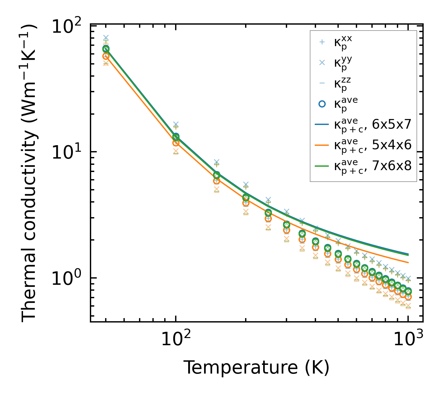
Thermal conductivity

3-phonon (LASSO) — q-mesh: 7x6x8, supercell: 1x1x2

../../_images/fig_kappa104.png

(a) Temperature-dependent lattice thermal conductivity

../../_images/fig_kappa_vs_grain_size55.png

(b) Peierls lattice thermal conductivity w.r.t grain size

Phonon lifetime and scattering rates

../../_images/fig_lifetime53.png

(a) Phonon lifetime due to phonon-phonon scattering

../../_images/fig_scat_rates53.png

(b) Phonon scattering rates

Cumulative and spectral thermal conductivity

../../_images/fig_cumu_frequency53.png

(a) Spectral and cumulative thermal conductivity w.r.t frequency

../../_images/fig_cumu_mfp53.png

(b) Spectral and cumulative thermal conductivity w.r.t MFP

Force constants

../../_images/fig_fc278.png

(a) Force constants w.r.t atomic distance

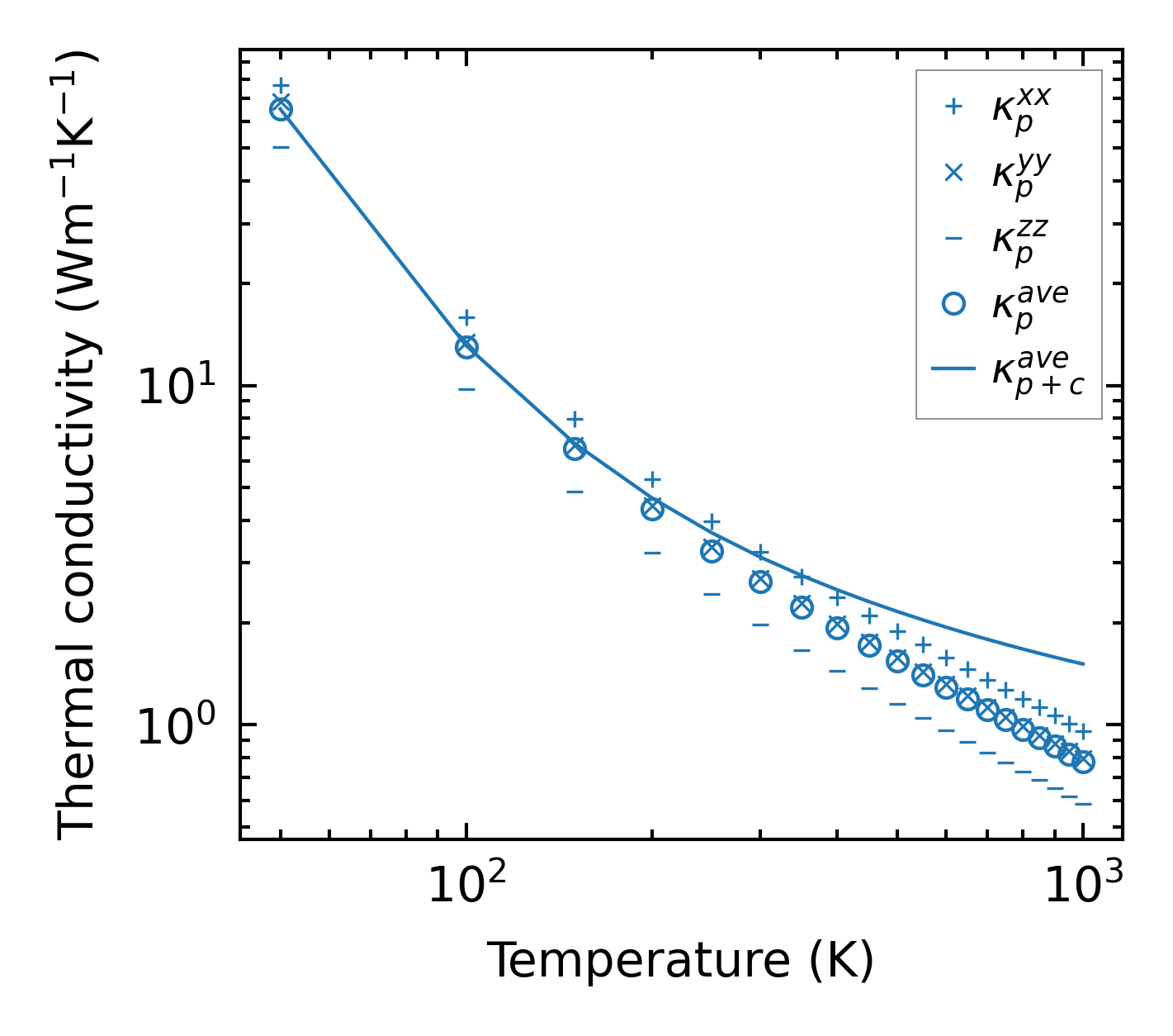
Summary

../../_images/fig_kappa105.png

(a) Temperature-dependent lattice thermal conductivity

../../_images/fig_times137.png

(b) Computation time