mp-866807-2/TiZnH12O6F6/anharm

Equation of state

../../_images/fig_bm605.png

(a) Equation of state

Harmonic properties

../../_images/fig_bandos_pr1638.png

(a) Phonon dispersion with participation ratio and DOS

../../_images/fig_bandos1576.png

(b) Phonon dispersion and DOS

../../_images/fig_thermo1638.png

(c) Thermodynamic properties

Grüneisen parameters

../../_images/fig_gru_all966.png

(a) Grüneisen parameters

../../_images/fig_gruneisen966.png

(b) Phonon dispersion with Grüneisen parameters

Thermal conductivity

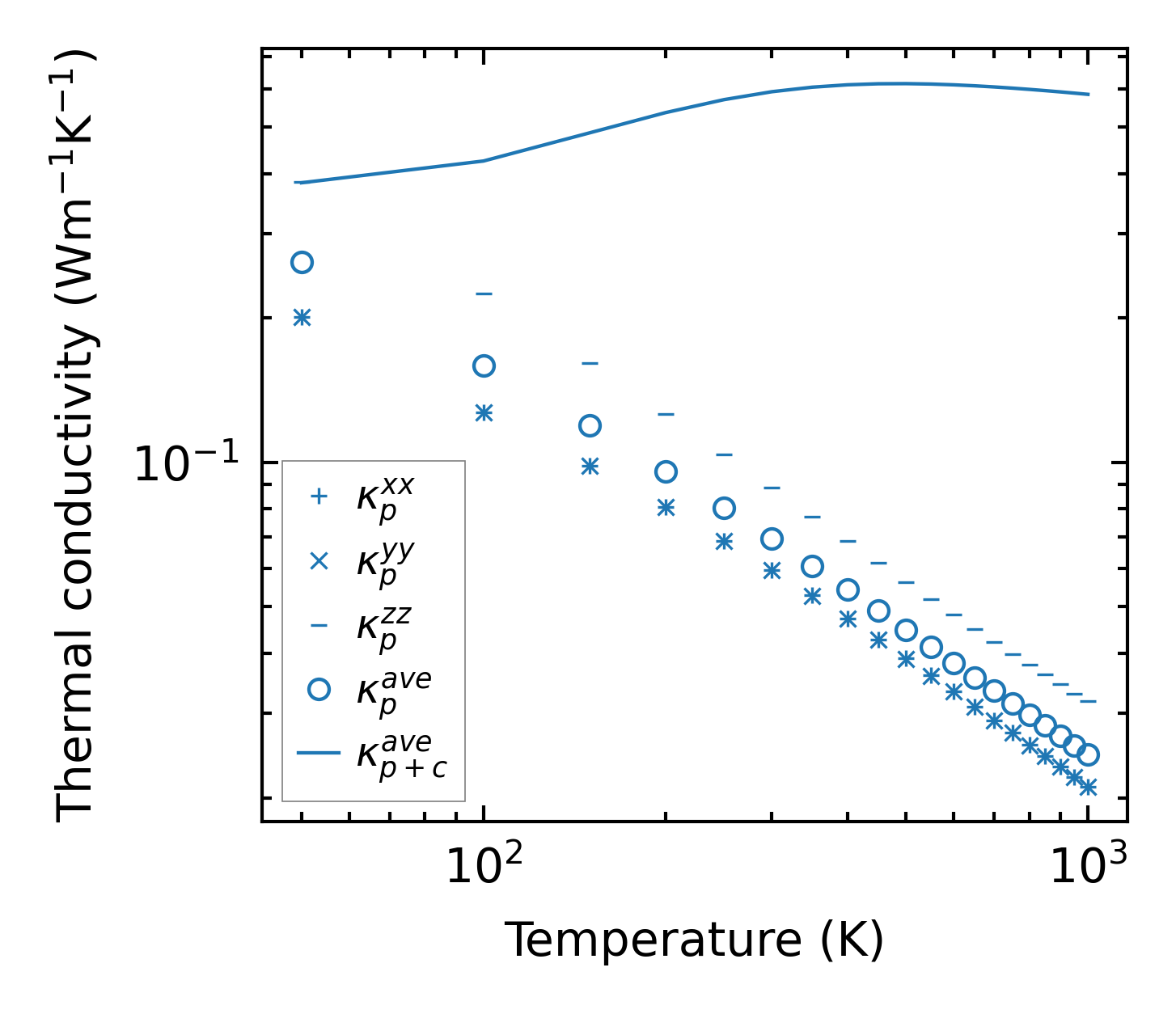
3-phonon (LASSO) — q-mesh: 11x11x11, supercell: 1x1x1

../../_images/fig_kappa1873.png

(a) Temperature-dependent lattice thermal conductivity

../../_images/fig_kappa_vs_grain_size976.png

(b) Peierls lattice thermal conductivity w.r.t grain size

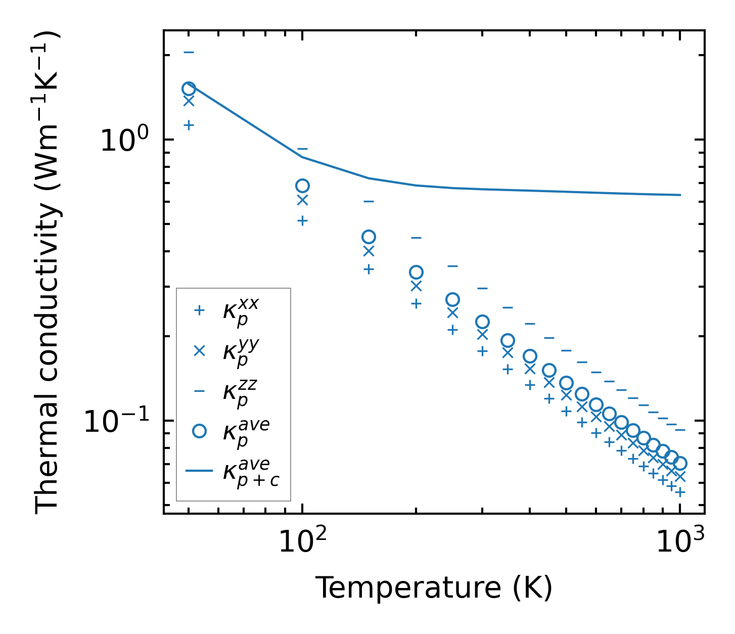
3-phonon (LASSO), supercell 2x2x1 — q-mesh: 11x11x11, supercell: 2x2x1

../../_images/fig_kappa1874.png

(a) Temperature-dependent lattice thermal conductivity

../../_images/fig_kappa_vs_grain_size977.png

(b) Peierls lattice thermal conductivity w.r.t grain size

Phonon lifetime and scattering rates

../../_images/fig_lifetime959.png

(a) Phonon lifetime due to phonon-phonon scattering

../../_images/fig_scat_rates958.png

(b) Phonon scattering rates

Cumulative and spectral thermal conductivity

../../_images/fig_cumu_frequency959.png

(a) Spectral and cumulative thermal conductivity w.r.t frequency

../../_images/fig_cumu_mfp959.png

(b) Spectral and cumulative thermal conductivity w.r.t MFP

Force constants

../../_images/fig_fc21471.png

(a) Force constants w.r.t atomic distance

Summary

../../_images/fig_kappa1875.png

(a) Temperature-dependent lattice thermal conductivity

../../_images/fig_times2461.png

(b) Computation time