mp-866154/TiBeIr2/anharm

Harmonic properties

../../_images/fig_bandos_pr1590.png

(a) Phonon dispersion with participation ratio and DOS

../../_images/fig_thermo1590.png

(b) Thermodynamic properties

Grüneisen parameters

../../_images/fig_gru_all947.png

(a) Grüneisen parameters

../../_images/fig_gruneisen947.png

(b) Phonon dispersion with Grüneisen parameters

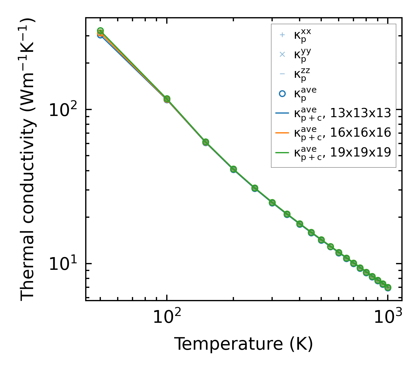
Thermal conductivity

3-phonon — q-mesh: 19x19x19, supercell: 2x2x2

../../_images/fig_kappa1837.png

(a) Temperature-dependent lattice thermal conductivity

../../_images/fig_kappa_vs_grain_size957.png

(b) Peierls lattice thermal conductivity w.r.t grain size

Phonon lifetime and scattering rates

../../_images/fig_lifetime940.png

(a) Phonon lifetime due to phonon-phonon scattering

../../_images/fig_scat_rates939.png

(b) Phonon scattering rates

Cumulative and spectral thermal conductivity

../../_images/fig_cumu_frequency940.png

(a) Spectral and cumulative thermal conductivity w.r.t frequency

../../_images/fig_cumu_mfp940.png

(b) Spectral and cumulative thermal conductivity w.r.t MFP

Force constants

../../_images/fig_fc3164.png

(a) Force constants w.r.t atomic distance

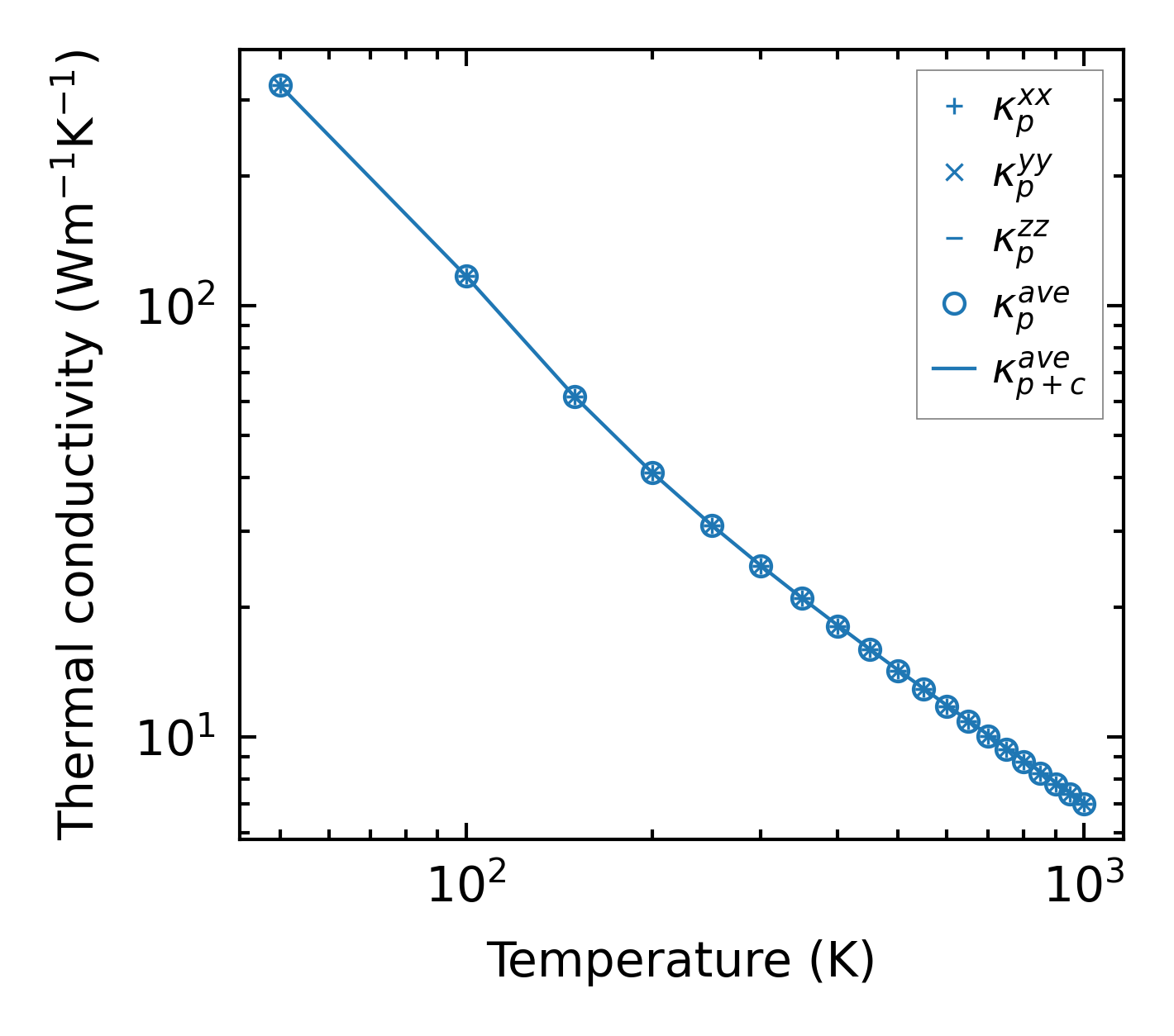
Summary

../../_images/fig_kappa1838.png

(a) Temperature-dependent lattice thermal conductivity

../../_images/fig_times2389.png

(b) Computation time