mp-866665-2/LiMgB3H18N2/anharm

Harmonic properties

../../_images/fig_bandos_pr1628.png

(a) Phonon dispersion with participation ratio and DOS

../../_images/fig_thermo1628.png

(b) Thermodynamic properties

Grüneisen parameters

../../_images/fig_gru_all964.png

(a) Grüneisen parameters

../../_images/fig_gruneisen964.png

(b) Phonon dispersion with Grüneisen parameters

Thermal conductivity

3-phonon (LASSO) — q-mesh: 9x9x9, supercell: 1x1x1

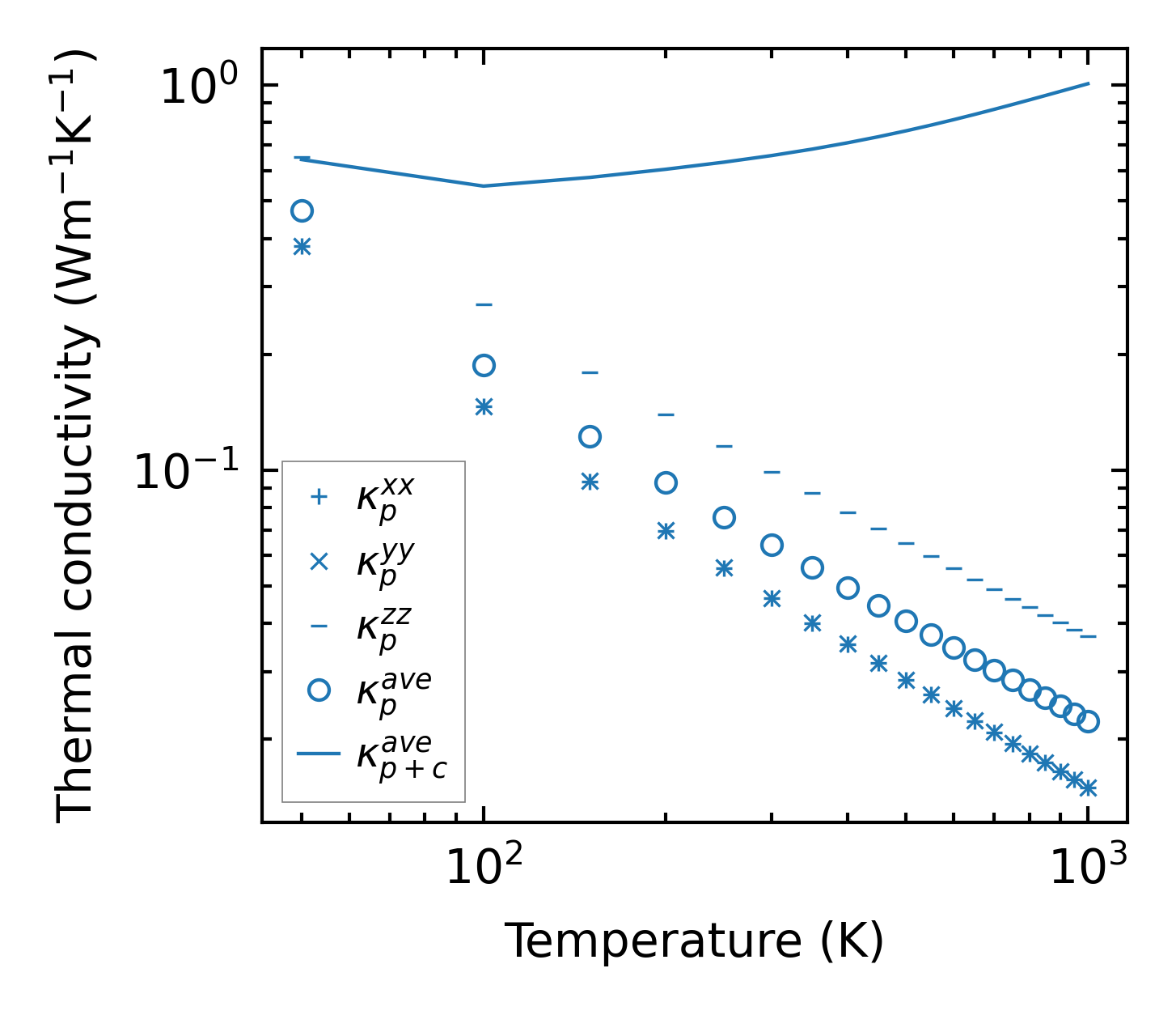
../../_images/fig_kappa1869.png

(a) Temperature-dependent lattice thermal conductivity

../../_images/fig_kappa_vs_grain_size974.png

(b) Peierls lattice thermal conductivity w.r.t grain size

Phonon lifetime and scattering rates

../../_images/fig_lifetime957.png

(a) Phonon lifetime due to phonon-phonon scattering

../../_images/fig_scat_rates956.png

(b) Phonon scattering rates

Cumulative and spectral thermal conductivity

../../_images/fig_cumu_frequency957.png

(a) Spectral and cumulative thermal conductivity w.r.t frequency

../../_images/fig_cumu_mfp957.png

(b) Spectral and cumulative thermal conductivity w.r.t MFP

Force constants

../../_images/fig_fc21461.png

(a) Force constants w.r.t atomic distance

Summary

../../_images/fig_kappa1870.png

(a) Temperature-dependent lattice thermal conductivity

../../_images/fig_times2450.png

(b) Computation time