mp-866308/CaB2H14N2/anharm

Harmonic properties

../../_images/fig_bandos_pr1598.png

(a) Phonon dispersion with participation ratio and DOS

../../_images/fig_thermo1598.png

(b) Thermodynamic properties

Grüneisen parameters

../../_images/fig_gru_all953.png

(a) Grüneisen parameters

../../_images/fig_gruneisen953.png

(b) Phonon dispersion with Grüneisen parameters

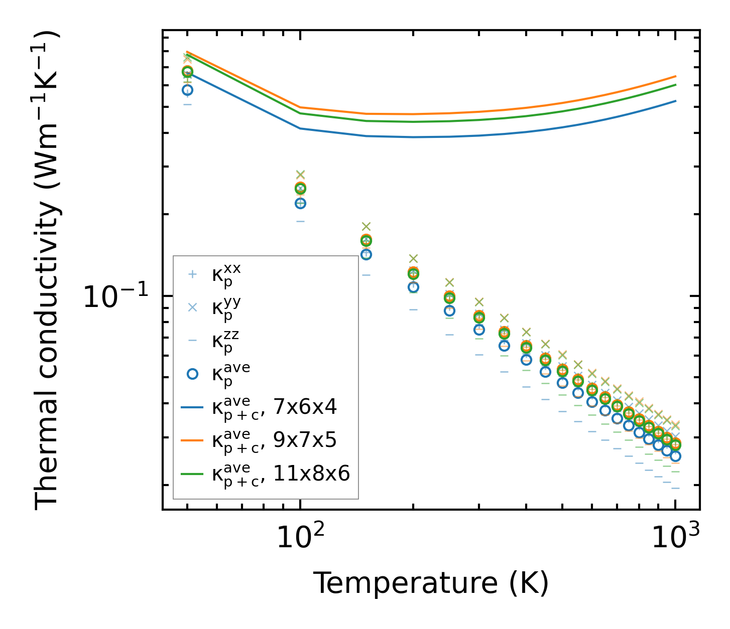
Thermal conductivity

3-phonon (LASSO) — q-mesh: 11x8x6, supercell: 1x1x1

../../_images/fig_kappa1848.png

(a) Temperature-dependent lattice thermal conductivity

../../_images/fig_kappa_vs_grain_size963.png

(b) Peierls lattice thermal conductivity w.r.t grain size

Phonon lifetime and scattering rates

../../_images/fig_lifetime946.png

(a) Phonon lifetime due to phonon-phonon scattering

../../_images/fig_scat_rates945.png

(b) Phonon scattering rates

Cumulative and spectral thermal conductivity

../../_images/fig_cumu_frequency946.png

(a) Spectral and cumulative thermal conductivity w.r.t frequency

../../_images/fig_cumu_mfp946.png

(b) Spectral and cumulative thermal conductivity w.r.t MFP

Force constants

../../_images/fig_fc21431.png

(a) Force constants w.r.t atomic distance

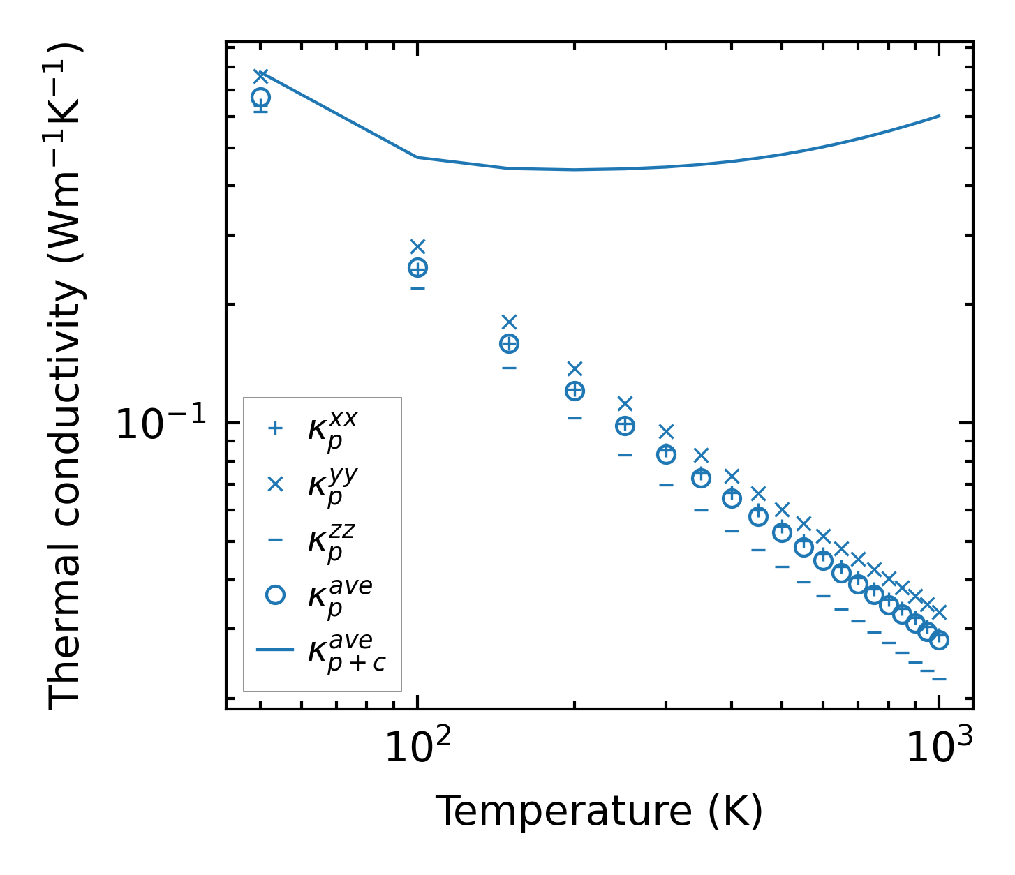
Summary

../../_images/fig_kappa1849.png

(a) Temperature-dependent lattice thermal conductivity

../../_images/fig_times2401.png

(b) Computation time