mp-866097-2/CuH6BrN2/anharm

Equation of state

../../_images/fig_bm587.png

(a) Equation of state

Harmonic properties

../../_images/fig_bandos_pr1588.png

(a) Phonon dispersion with participation ratio and DOS

../../_images/fig_bandos1518.png

(b) Phonon dispersion and DOS

../../_images/fig_thermo1588.png

(c) Thermodynamic properties

Grüneisen parameters

../../_images/fig_gru_all945.png

(a) Grüneisen parameters

../../_images/fig_gruneisen945.png

(b) Phonon dispersion with Grüneisen parameters

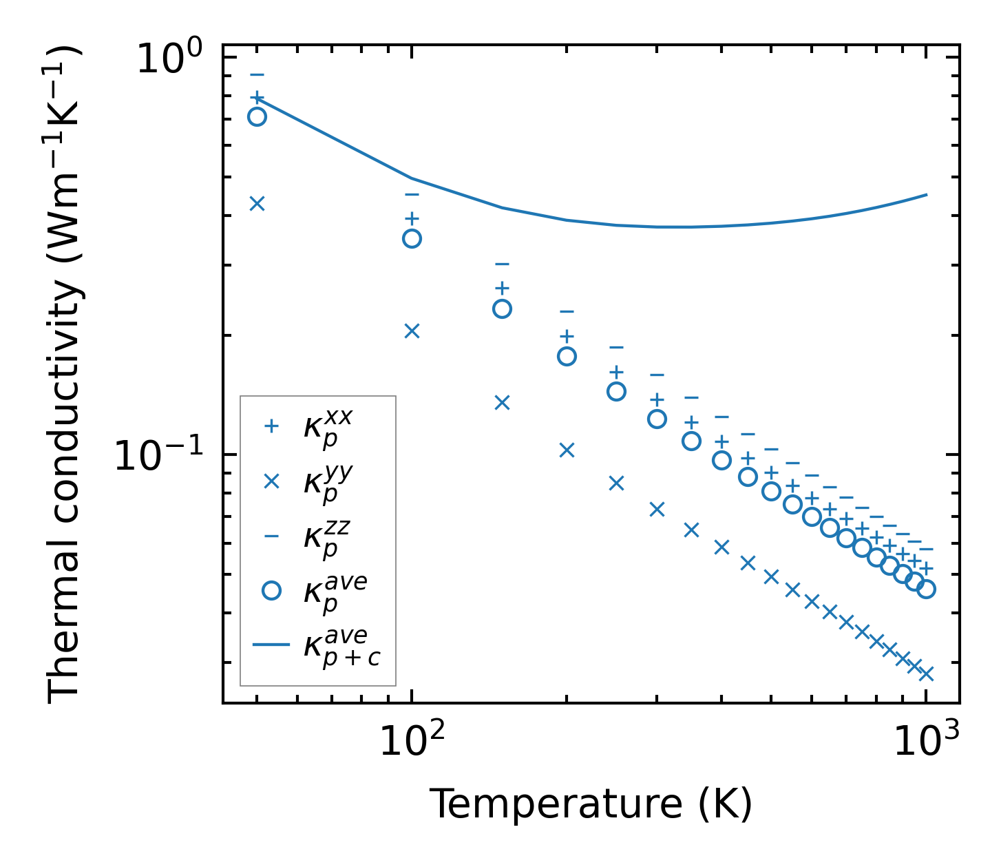
Thermal conductivity

3-phonon (LASSO), supercell 2x1x2 — q-mesh: 10x10x14, supercell: 2x1x2

../../_images/fig_kappa1834.png

(a) Temperature-dependent lattice thermal conductivity

../../_images/fig_kappa_vs_grain_size955.png

(b) Peierls lattice thermal conductivity w.r.t grain size

Phonon lifetime and scattering rates

../../_images/fig_lifetime938.png

(a) Phonon lifetime due to phonon-phonon scattering

../../_images/fig_scat_rates937.png

(b) Phonon scattering rates

Cumulative and spectral thermal conductivity

../../_images/fig_cumu_frequency938.png

(a) Spectral and cumulative thermal conductivity w.r.t frequency

../../_images/fig_cumu_mfp938.png

(b) Spectral and cumulative thermal conductivity w.r.t MFP

Force constants

../../_images/fig_fc21425.png

(a) Force constants w.r.t atomic distance

Summary

../../_images/fig_times2385.png

(a) Computation time