mp-866475-2/Ca3Sn2S7/anharm

Equation of state

../../_images/fig_bm593.png

(a) Equation of state

Harmonic properties

../../_images/fig_bandos_pr1606.png

(a) Phonon dispersion with participation ratio and DOS

../../_images/fig_bandos1534.png

(b) Phonon dispersion and DOS

../../_images/fig_thermo1606.png

(c) Thermodynamic properties

Grüneisen parameters

../../_images/fig_gru_all958.png

(a) Grüneisen parameters

../../_images/fig_gruneisen958.png

(b) Phonon dispersion with Grüneisen parameters

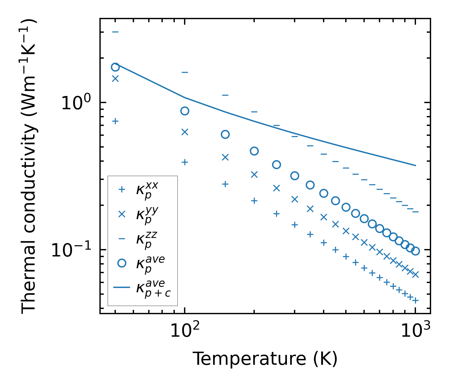
Thermal conductivity

3-phonon (LASSO), supercell 2x1x4 — q-mesh: 6x5x18, supercell: 2x1x4

../../_images/fig_kappa1858.png

(a) Temperature-dependent lattice thermal conductivity

../../_images/fig_kappa_vs_grain_size968.png

(b) Peierls lattice thermal conductivity w.r.t grain size

Phonon lifetime and scattering rates

../../_images/fig_lifetime951.png

(a) Phonon lifetime due to phonon-phonon scattering

../../_images/fig_scat_rates950.png

(b) Phonon scattering rates

Cumulative and spectral thermal conductivity

../../_images/fig_cumu_frequency951.png

(a) Spectral and cumulative thermal conductivity w.r.t frequency

../../_images/fig_cumu_mfp951.png

(b) Spectral and cumulative thermal conductivity w.r.t MFP

Force constants

../../_images/fig_fc21439.png

(a) Force constants w.r.t atomic distance

Summary

../../_images/fig_times2412.png

(a) Computation time