mp-866481/Co2Sn3Te3/anharm

Harmonic properties

../../_images/fig_bandos_pr1607.png

(a) Phonon dispersion with participation ratio and DOS

../../_images/fig_thermo1607.png

(b) Thermodynamic properties

Grüneisen parameters

../../_images/fig_gru_all959.png

(a) Grüneisen parameters

../../_images/fig_gruneisen959.png

(b) Phonon dispersion with Grüneisen parameters

Thermal conductivity

3-phonon (LASSO) — q-mesh: 7x7x7, supercell: 1x1x1

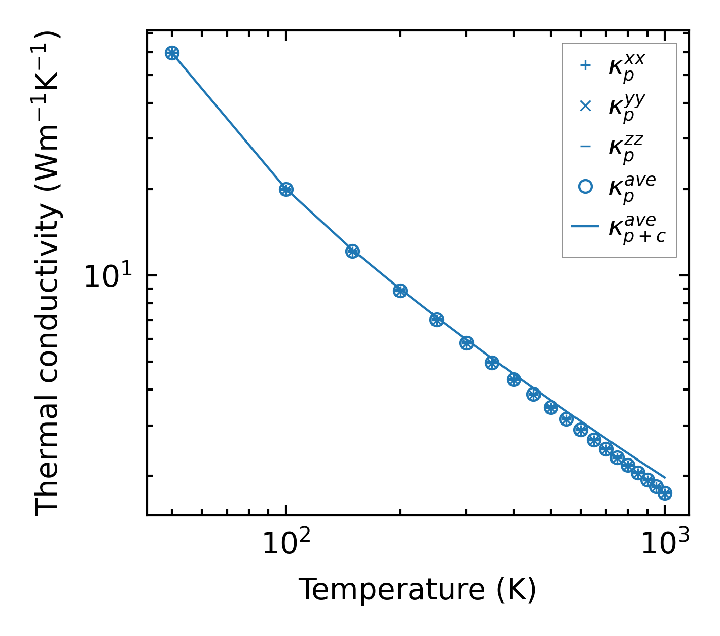
../../_images/fig_kappa1859.png

(a) Temperature-dependent lattice thermal conductivity

../../_images/fig_kappa_vs_grain_size969.png

(b) Peierls lattice thermal conductivity w.r.t grain size

Phonon lifetime and scattering rates

../../_images/fig_lifetime952.png

(a) Phonon lifetime due to phonon-phonon scattering

../../_images/fig_scat_rates951.png

(b) Phonon scattering rates

Cumulative and spectral thermal conductivity

../../_images/fig_cumu_frequency952.png

(a) Spectral and cumulative thermal conductivity w.r.t frequency

../../_images/fig_cumu_mfp952.png

(b) Spectral and cumulative thermal conductivity w.r.t MFP

Force constants

../../_images/fig_fc21440.png

(a) Force constants w.r.t atomic distance

Summary

../../_images/fig_kappa1860.png

(a) Temperature-dependent lattice thermal conductivity

../../_images/fig_times2413.png

(b) Computation time