mp-866658-2/H16RhN5Cl6O3/harm

Equation of state

../../_images/fig_bm602.png

(a) Equation of state

Harmonic properties

../../_images/fig_bandos_pr1624.png

(a) Phonon dispersion with participation ratio and DOS

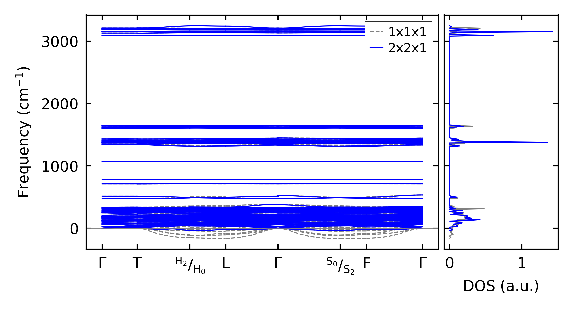
../../_images/fig_bandos1563.png

(b) Phonon dispersion and DOS

../../_images/fig_thermo1624.png

(c) Thermodynamic properties

Force constants

../../_images/fig_fc21457.png

(a) Force constants w.r.t atomic distance

Summary

../../_images/fig_times2445.png

(a) Computation time