mp-866615/CsAg2AsS3/anharm

Harmonic properties

../../_images/fig_bandos_pr1617.png

(a) Phonon dispersion with participation ratio and DOS

../../_images/fig_thermo1617.png

(b) Thermodynamic properties

Grüneisen parameters

../../_images/fig_gru_all962.png

(a) Grüneisen parameters

../../_images/fig_gruneisen962.png

(b) Phonon dispersion with Grüneisen parameters

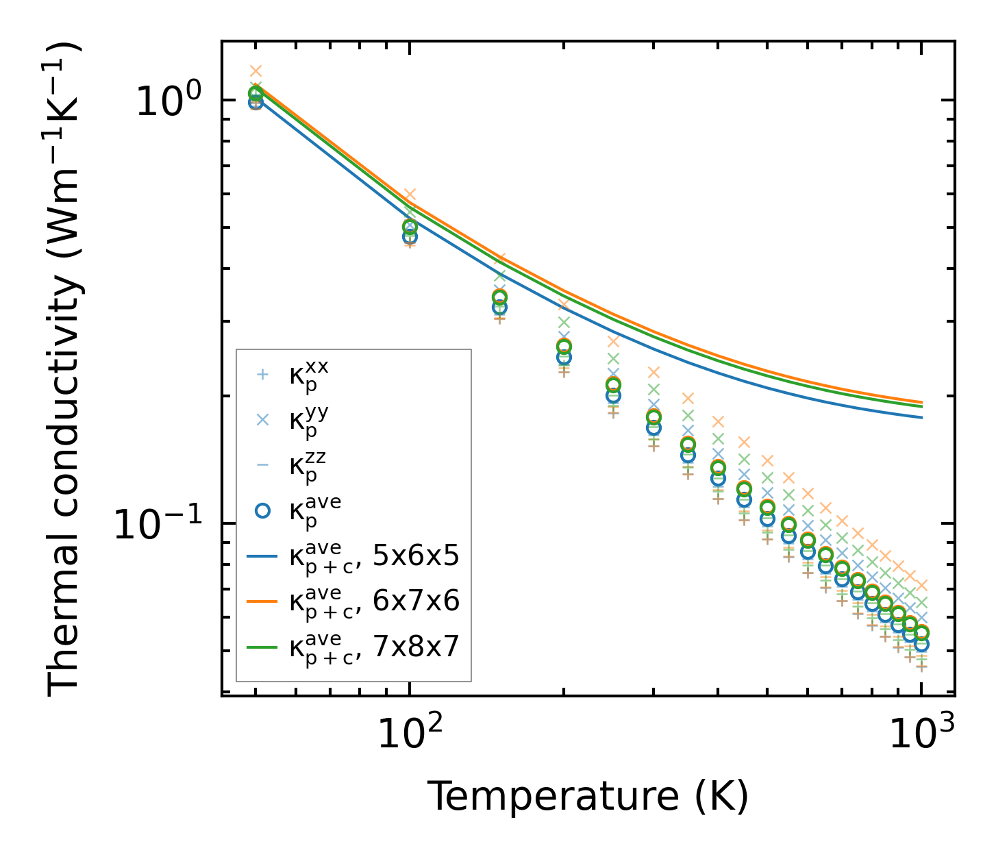
Thermal conductivity

3-phonon (LASSO) — q-mesh: 7x8x7, supercell: 1x2x2

../../_images/fig_kappa1865.png

(a) Temperature-dependent lattice thermal conductivity

../../_images/fig_kappa_vs_grain_size972.png

(b) Peierls lattice thermal conductivity w.r.t grain size

Phonon lifetime and scattering rates

../../_images/fig_lifetime955.png

(a) Phonon lifetime due to phonon-phonon scattering

../../_images/fig_scat_rates954.png

(b) Phonon scattering rates

Cumulative and spectral thermal conductivity

../../_images/fig_cumu_frequency955.png

(a) Spectral and cumulative thermal conductivity w.r.t frequency

../../_images/fig_cumu_mfp955.png

(b) Spectral and cumulative thermal conductivity w.r.t MFP

Force constants

../../_images/fig_fc21450.png

(a) Force constants w.r.t atomic distance

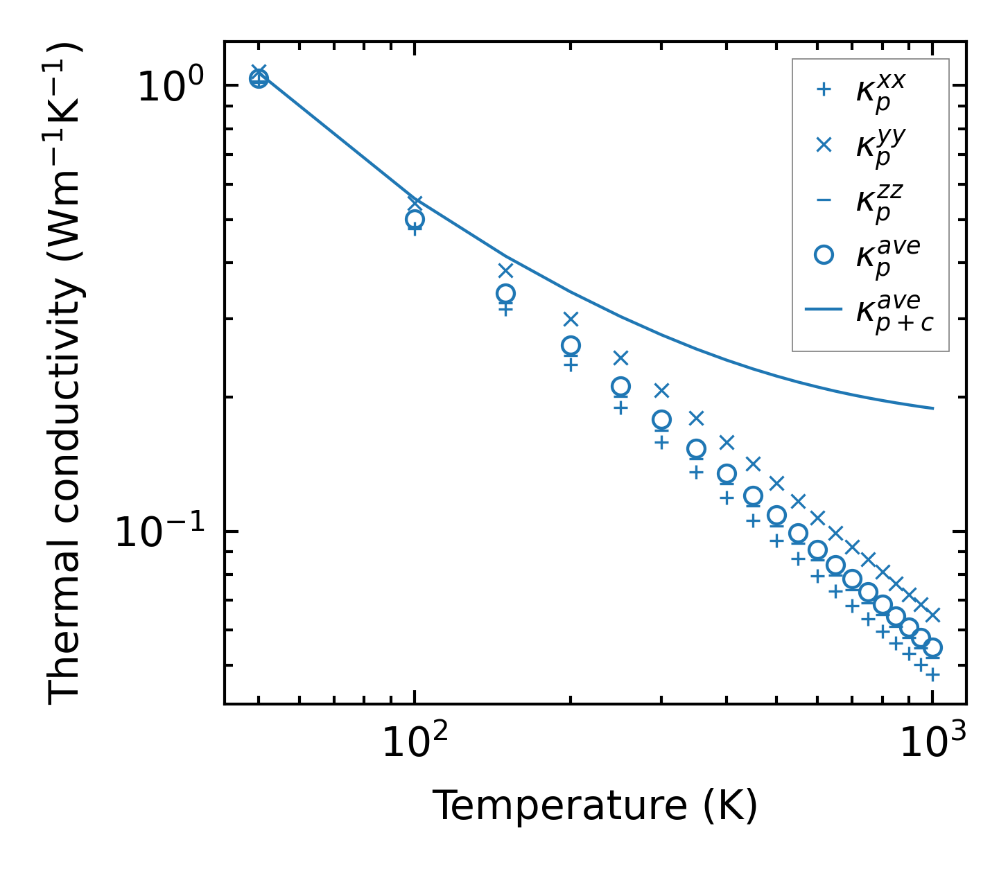
Summary

../../_images/fig_kappa1866.png

(a) Temperature-dependent lattice thermal conductivity

../../_images/fig_times2427.png

(b) Computation time