mp-866302/BaNaP3H3N3O6/anharm

Harmonic properties

../../_images/fig_bandos_pr1596.png

(a) Phonon dispersion with participation ratio and DOS

../../_images/fig_thermo1596.png

(b) Thermodynamic properties

Grüneisen parameters

../../_images/fig_gru_all951.png

(a) Grüneisen parameters

../../_images/fig_gruneisen951.png

(b) Phonon dispersion with Grüneisen parameters

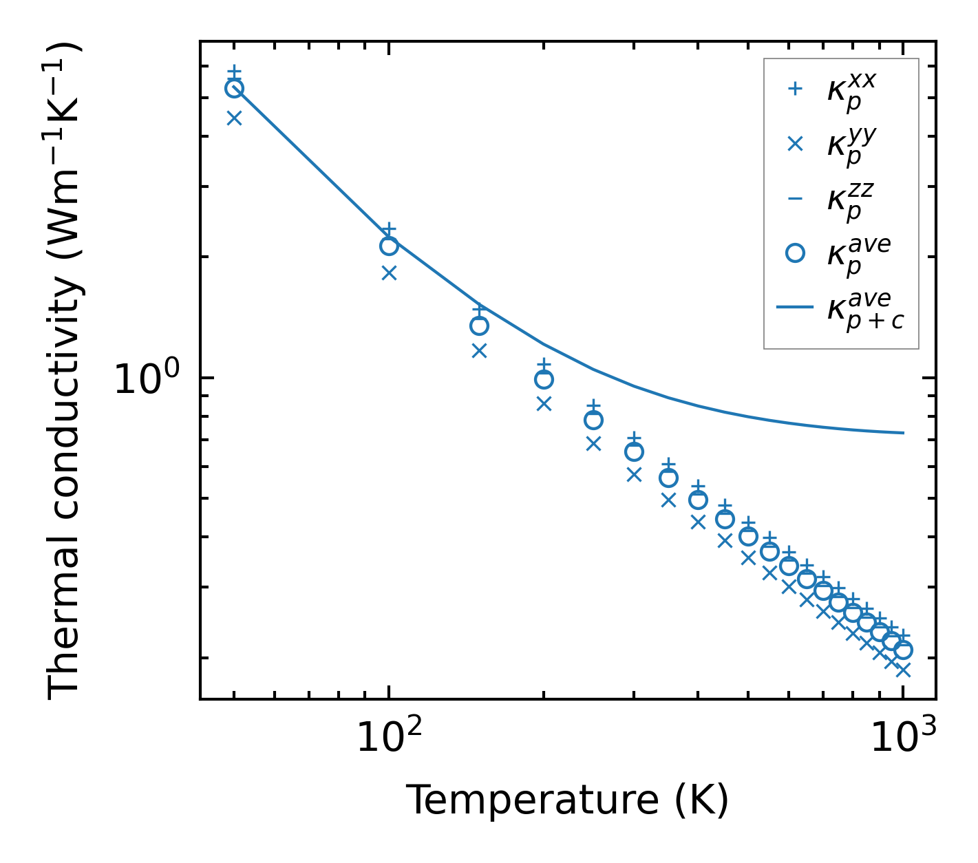
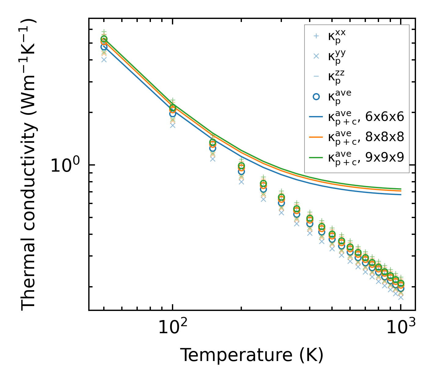
Thermal conductivity

3-phonon (LASSO) — q-mesh: 9x9x9, supercell: 1x1x2

../../_images/fig_kappa1844.png

(a) Temperature-dependent lattice thermal conductivity

../../_images/fig_kappa_vs_grain_size961.png

(b) Peierls lattice thermal conductivity w.r.t grain size

Phonon lifetime and scattering rates

../../_images/fig_lifetime944.png

(a) Phonon lifetime due to phonon-phonon scattering

../../_images/fig_scat_rates943.png

(b) Phonon scattering rates

Cumulative and spectral thermal conductivity

../../_images/fig_cumu_frequency944.png

(a) Spectral and cumulative thermal conductivity w.r.t frequency

../../_images/fig_cumu_mfp944.png

(b) Spectral and cumulative thermal conductivity w.r.t MFP

Force constants

../../_images/fig_fc21429.png

(a) Force constants w.r.t atomic distance

Summary

../../_images/fig_kappa1845.png

(a) Temperature-dependent lattice thermal conductivity

../../_images/fig_times2399.png

(b) Computation time