mp-776894-2/NaTiO2/anharm

Harmonic properties

../../_images/fig_bandos_pr2311.png

(a) Phonon dispersion with participation ratio and DOS

../../_images/fig_thermo2311.png

(b) Thermodynamic properties

Grüneisen parameters

../../_images/fig_gru_all1269.png

(a) Grüneisen parameters

../../_images/fig_gruneisen1269.png

(b) Phonon dispersion with Grüneisen parameters

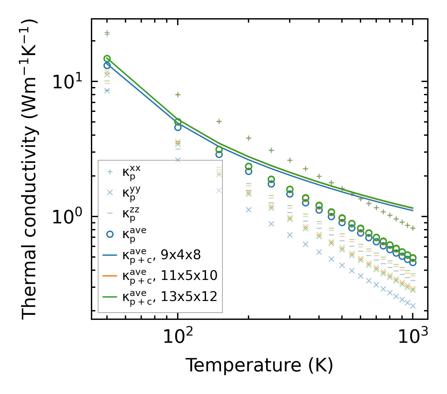
Thermal conductivity

3-phonon (LASSO) — q-mesh: 13x5x12, supercell: 2x1x2

../../_images/fig_kappa2441.png

(a) Temperature-dependent lattice thermal conductivity

../../_images/fig_kappa_vs_grain_size1285.png

(b) Peierls lattice thermal conductivity w.r.t grain size

Phonon lifetime and scattering rates

../../_images/fig_lifetime1259.png

(a) Phonon lifetime due to phonon-phonon scattering

../../_images/fig_scat_rates1258.png

(b) Phonon scattering rates

Cumulative and spectral thermal conductivity

../../_images/fig_cumu_frequency1259.png

(a) Spectral and cumulative thermal conductivity w.r.t frequency

../../_images/fig_cumu_mfp1259.png

(b) Spectral and cumulative thermal conductivity w.r.t MFP

Force constants

../../_images/fig_fc22132.png

(a) Force constants w.r.t atomic distance

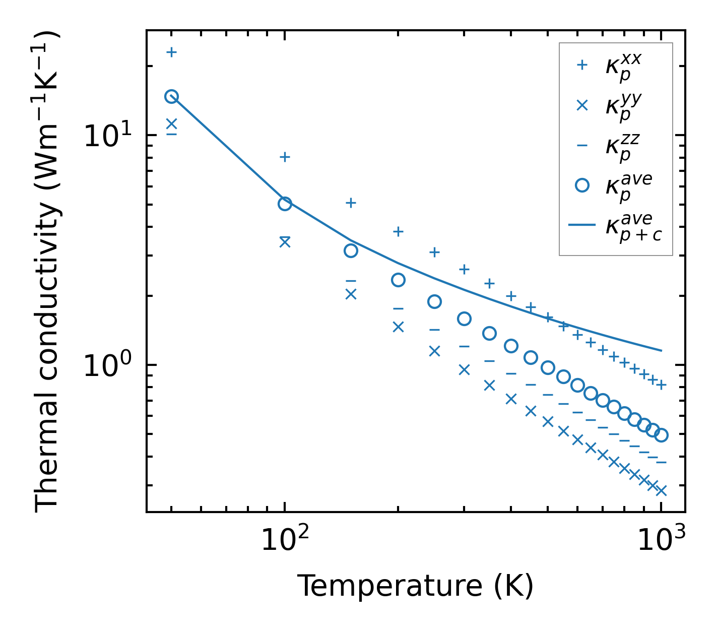
Summary

../../_images/fig_kappa2442.png

(a) Temperature-dependent lattice thermal conductivity

../../_images/fig_times3760.png

(b) Computation time