mp-776532/HfO2/anharm

Harmonic properties

../../_images/fig_bandos_pr2295.png

(a) Phonon dispersion with participation ratio and DOS

../../_images/fig_thermo2295.png

(b) Thermodynamic properties

Grüneisen parameters

../../_images/fig_gru_all1265.png

(a) Grüneisen parameters

../../_images/fig_gruneisen1265.png

(b) Phonon dispersion with Grüneisen parameters

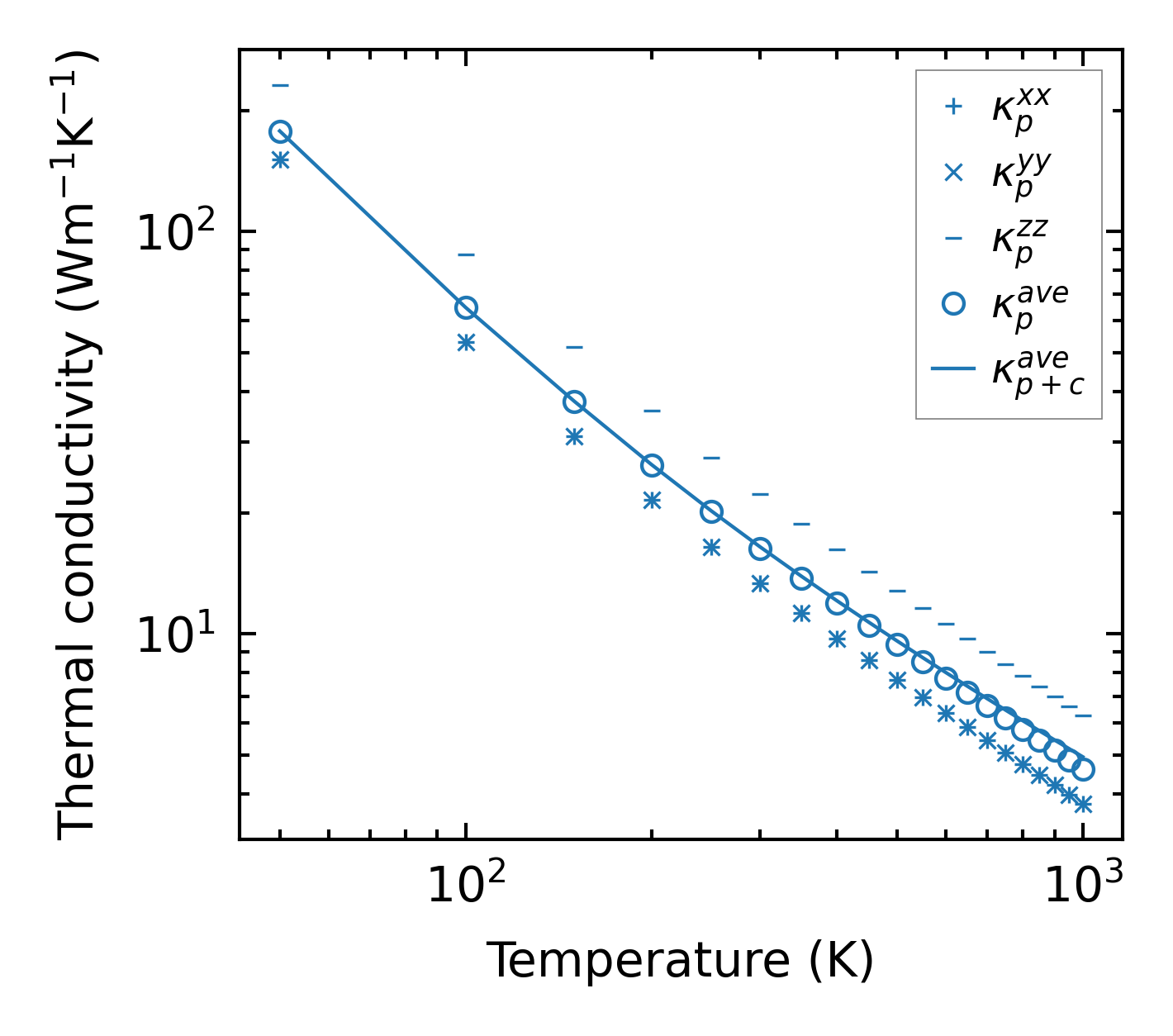
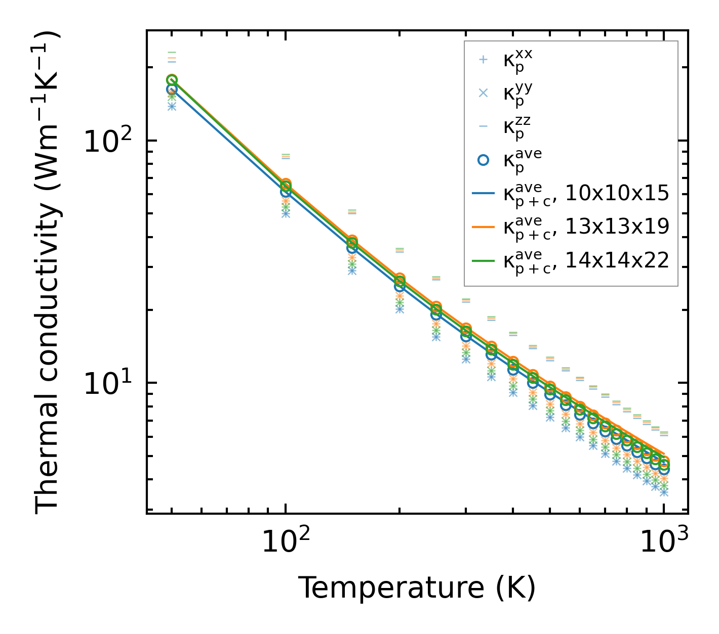
Thermal conductivity

3-phonon (LASSO) — q-mesh: 14x14x22, supercell: 2x2x4

../../_images/fig_kappa2434.png

(a) Temperature-dependent lattice thermal conductivity

../../_images/fig_kappa_vs_grain_size1281.png

(b) Peierls lattice thermal conductivity w.r.t grain size

Phonon lifetime and scattering rates

../../_images/fig_lifetime1255.png

(a) Phonon lifetime due to phonon-phonon scattering

../../_images/fig_scat_rates1254.png

(b) Phonon scattering rates

Cumulative and spectral thermal conductivity

../../_images/fig_cumu_frequency1255.png

(a) Spectral and cumulative thermal conductivity w.r.t frequency

../../_images/fig_cumu_mfp1255.png

(b) Spectral and cumulative thermal conductivity w.r.t MFP

Force constants

../../_images/fig_fc22116.png

(a) Force constants w.r.t atomic distance

Summary

../../_images/fig_kappa2435.png

(a) Temperature-dependent lattice thermal conductivity

../../_images/fig_times3736.png

(b) Computation time