mp-776890/Rb2O/anharm

Harmonic properties

../../_images/fig_bandos_pr2309.png

(a) Phonon dispersion with participation ratio and DOS

../../_images/fig_thermo2309.png

(b) Thermodynamic properties

Grüneisen parameters

../../_images/fig_gru_all1267.png

(a) Grüneisen parameters

../../_images/fig_gruneisen1267.png

(b) Phonon dispersion with Grüneisen parameters

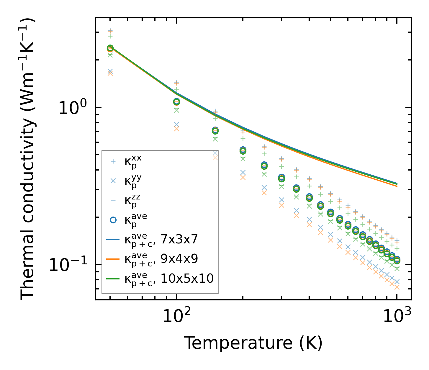
Thermal conductivity

3-phonon (LASSO) — q-mesh: 10x5x10, supercell: 2x1x2

../../_images/fig_kappa2437.png

(a) Temperature-dependent lattice thermal conductivity

../../_images/fig_kappa_vs_grain_size1283.png

(b) Peierls lattice thermal conductivity w.r.t grain size

Phonon lifetime and scattering rates

../../_images/fig_lifetime1257.png

(a) Phonon lifetime due to phonon-phonon scattering

../../_images/fig_scat_rates1256.png

(b) Phonon scattering rates

Cumulative and spectral thermal conductivity

../../_images/fig_cumu_frequency1257.png

(a) Spectral and cumulative thermal conductivity w.r.t frequency

../../_images/fig_cumu_mfp1257.png

(b) Spectral and cumulative thermal conductivity w.r.t MFP

Force constants

../../_images/fig_fc22130.png

(a) Force constants w.r.t atomic distance

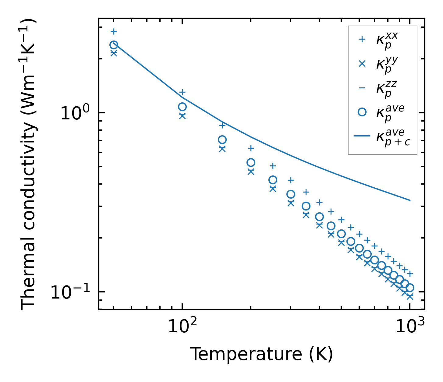
Summary

../../_images/fig_kappa2438.png

(a) Temperature-dependent lattice thermal conductivity

../../_images/fig_times3758.png

(b) Computation time