mp-776270-3/CoPO4/anharm

Harmonic properties

../../_images/fig_bandos_pr2270.png

(a) Phonon dispersion with participation ratio and DOS

../../_images/fig_thermo2270.png

(b) Thermodynamic properties

Grüneisen parameters

../../_images/fig_gru_all1260.png

(a) Grüneisen parameters

../../_images/fig_gruneisen1260.png

(b) Phonon dispersion with Grüneisen parameters

Thermal conductivity

3-phonon (LASSO) — q-mesh: 8x12x15, supercell: 1x2x2

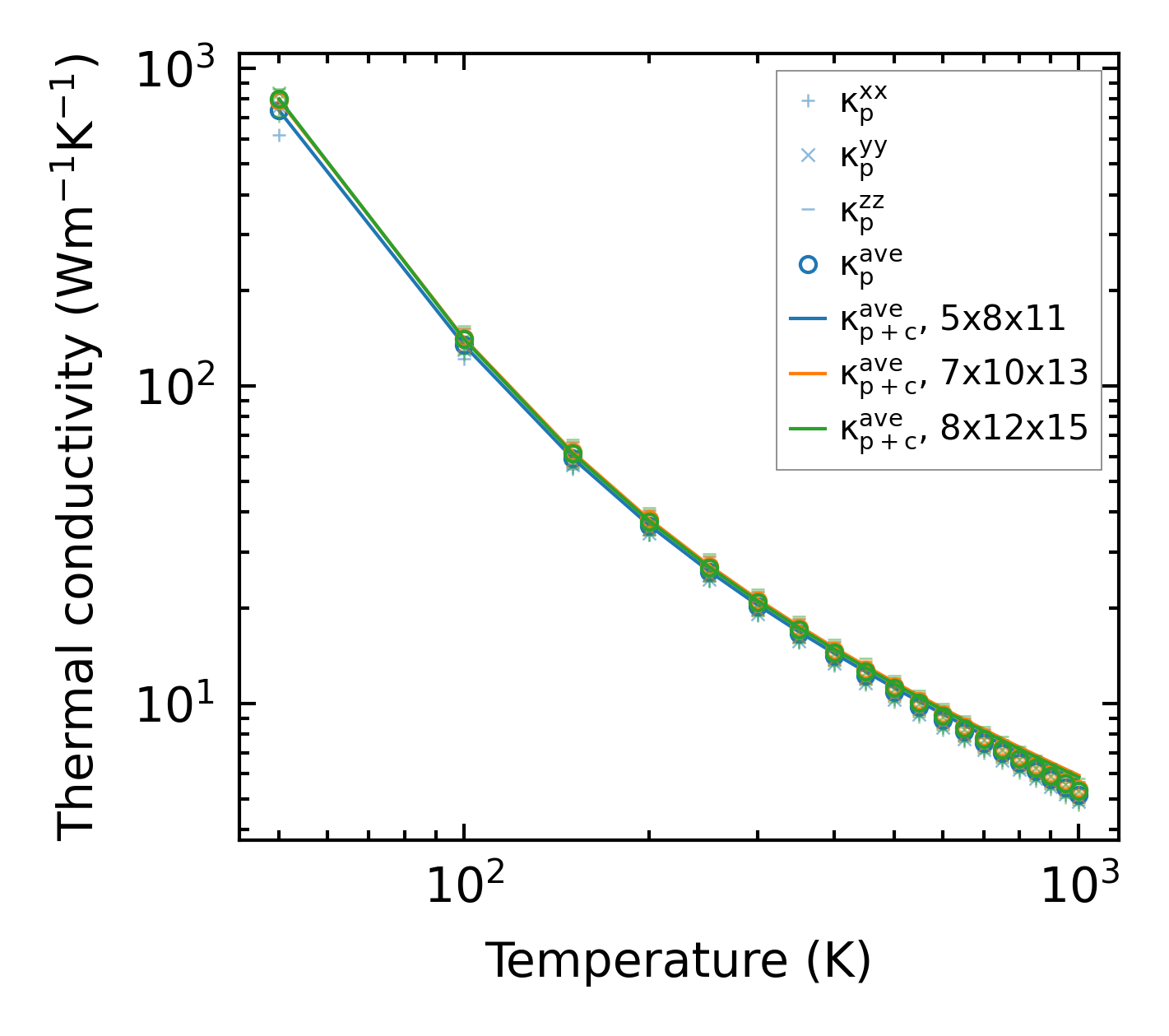
../../_images/fig_kappa2424.png

(a) Temperature-dependent lattice thermal conductivity

../../_images/fig_kappa_vs_grain_size1276.png

(b) Peierls lattice thermal conductivity w.r.t grain size

Phonon lifetime and scattering rates

../../_images/fig_lifetime1250.png

(a) Phonon lifetime due to phonon-phonon scattering

../../_images/fig_scat_rates1249.png

(b) Phonon scattering rates

Cumulative and spectral thermal conductivity

../../_images/fig_cumu_frequency1250.png

(a) Spectral and cumulative thermal conductivity w.r.t frequency

../../_images/fig_cumu_mfp1250.png

(b) Spectral and cumulative thermal conductivity w.r.t MFP

Force constants

../../_images/fig_fc22091.png

(a) Force constants w.r.t atomic distance

Summary

../../_images/fig_kappa2425.png

(a) Temperature-dependent lattice thermal conductivity

../../_images/fig_times3664.png

(b) Computation time