mp-776172/AlCuO3/anharm

Harmonic properties

../../_images/fig_bandos_pr2263.png

(a) Phonon dispersion with participation ratio and DOS

../../_images/fig_thermo2263.png

(b) Thermodynamic properties

Grüneisen parameters

../../_images/fig_gru_all1255.png

(a) Grüneisen parameters

../../_images/fig_gruneisen1255.png

(b) Phonon dispersion with Grüneisen parameters

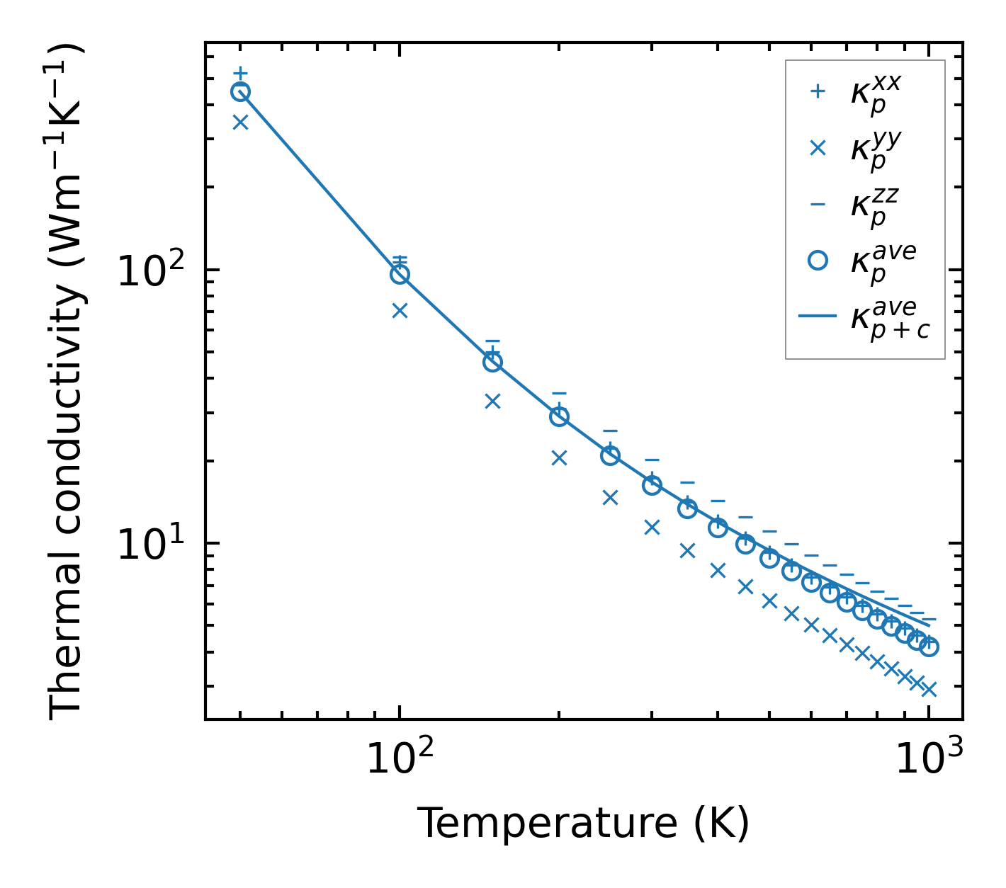
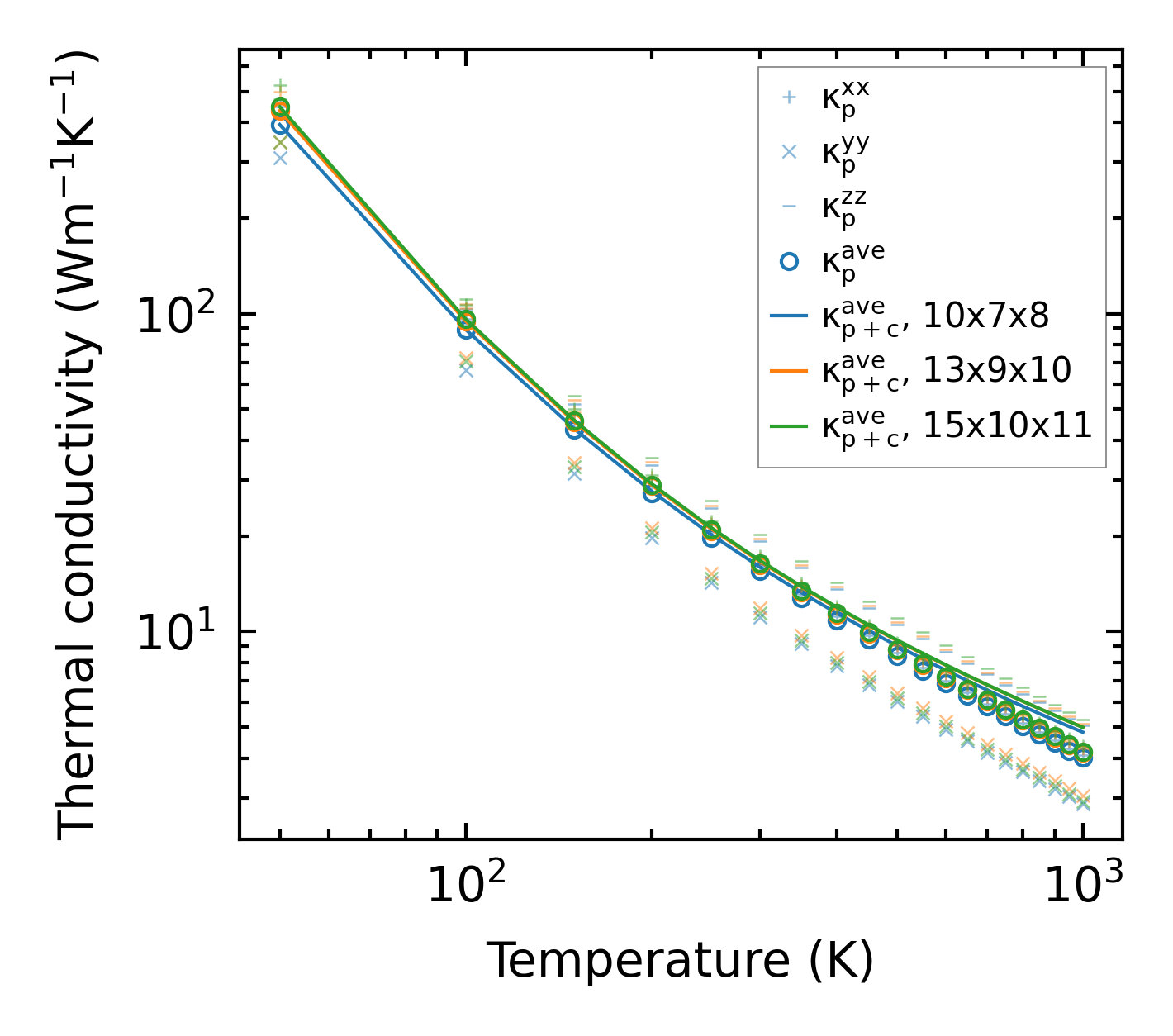
Thermal conductivity

3-phonon (LASSO) — q-mesh: 15x10x11, supercell: 2x1x2

../../_images/fig_kappa2415.png

(a) Temperature-dependent lattice thermal conductivity

../../_images/fig_kappa_vs_grain_size1271.png

(b) Peierls lattice thermal conductivity w.r.t grain size

Phonon lifetime and scattering rates

../../_images/fig_lifetime1245.png

(a) Phonon lifetime due to phonon-phonon scattering

../../_images/fig_scat_rates1244.png

(b) Phonon scattering rates

Cumulative and spectral thermal conductivity

../../_images/fig_cumu_frequency1245.png

(a) Spectral and cumulative thermal conductivity w.r.t frequency

../../_images/fig_cumu_mfp1245.png

(b) Spectral and cumulative thermal conductivity w.r.t MFP

Force constants

../../_images/fig_fc22084.png

(a) Force constants w.r.t atomic distance

Summary

../../_images/fig_kappa2416.png

(a) Temperature-dependent lattice thermal conductivity

../../_images/fig_times3628.png

(b) Computation time