mp-776081/K2O/anharm

Equation of state

../../_images/fig_bm1051.png

(a) Equation of state

Harmonic properties

../../_images/fig_bandos_pr2255.png

(a) Phonon dispersion with participation ratio and DOS

../../_images/fig_bandos2492.png

(b) Phonon dispersion and DOS

../../_images/fig_thermo2255.png

(c) Thermodynamic properties

Grüneisen parameters

../../_images/fig_gru_all1249.png

(a) Grüneisen parameters

../../_images/fig_gruneisen1249.png

(b) Phonon dispersion with Grüneisen parameters

Thermal conductivity

3-phonon (LASSO) — q-mesh: 17x8x17, supercell: 4x2x3

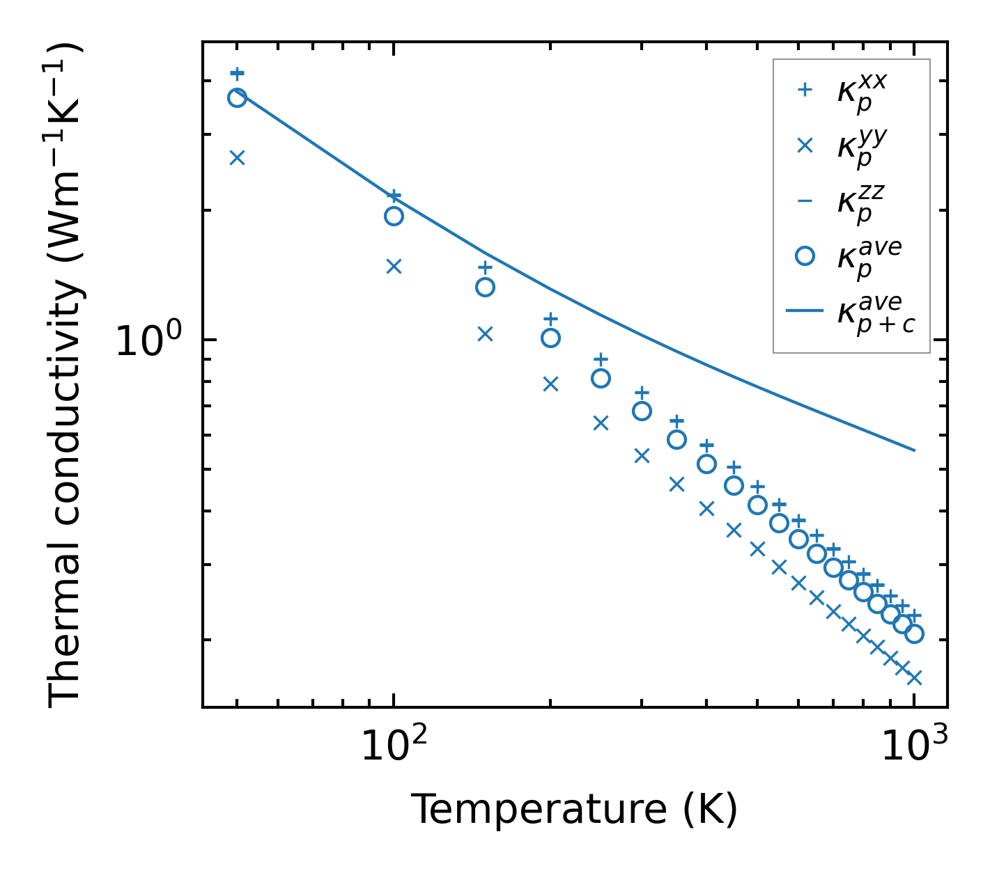
../../_images/fig_kappa2403.png

(a) Temperature-dependent lattice thermal conductivity

../../_images/fig_kappa_vs_grain_size1264.png

(b) Peierls lattice thermal conductivity w.r.t grain size

3-phonon (LASSO), supercell 4x2x4 — q-mesh: 17x8x17, supercell: 4x2x4

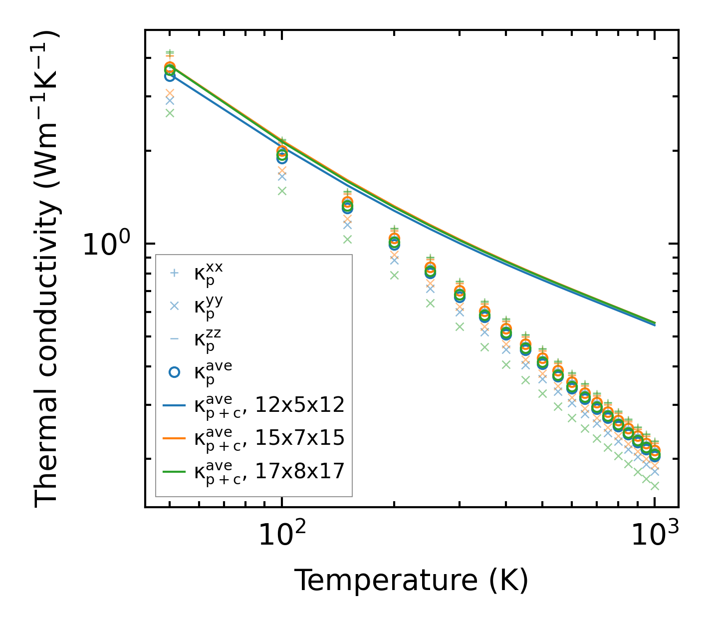
../../_images/fig_kappa2404.png

(a) Temperature-dependent lattice thermal conductivity

../../_images/fig_kappa_vs_grain_size1265.png

(b) Peierls lattice thermal conductivity w.r.t grain size

Phonon lifetime and scattering rates

../../_images/fig_lifetime1239.png

(a) Phonon lifetime due to phonon-phonon scattering

../../_images/fig_scat_rates1238.png

(b) Phonon scattering rates

Cumulative and spectral thermal conductivity

../../_images/fig_cumu_frequency1239.png

(a) Spectral and cumulative thermal conductivity w.r.t frequency

../../_images/fig_cumu_mfp1239.png

(b) Spectral and cumulative thermal conductivity w.r.t MFP

Force constants

../../_images/fig_fc22076.png

(a) Force constants w.r.t atomic distance

Summary

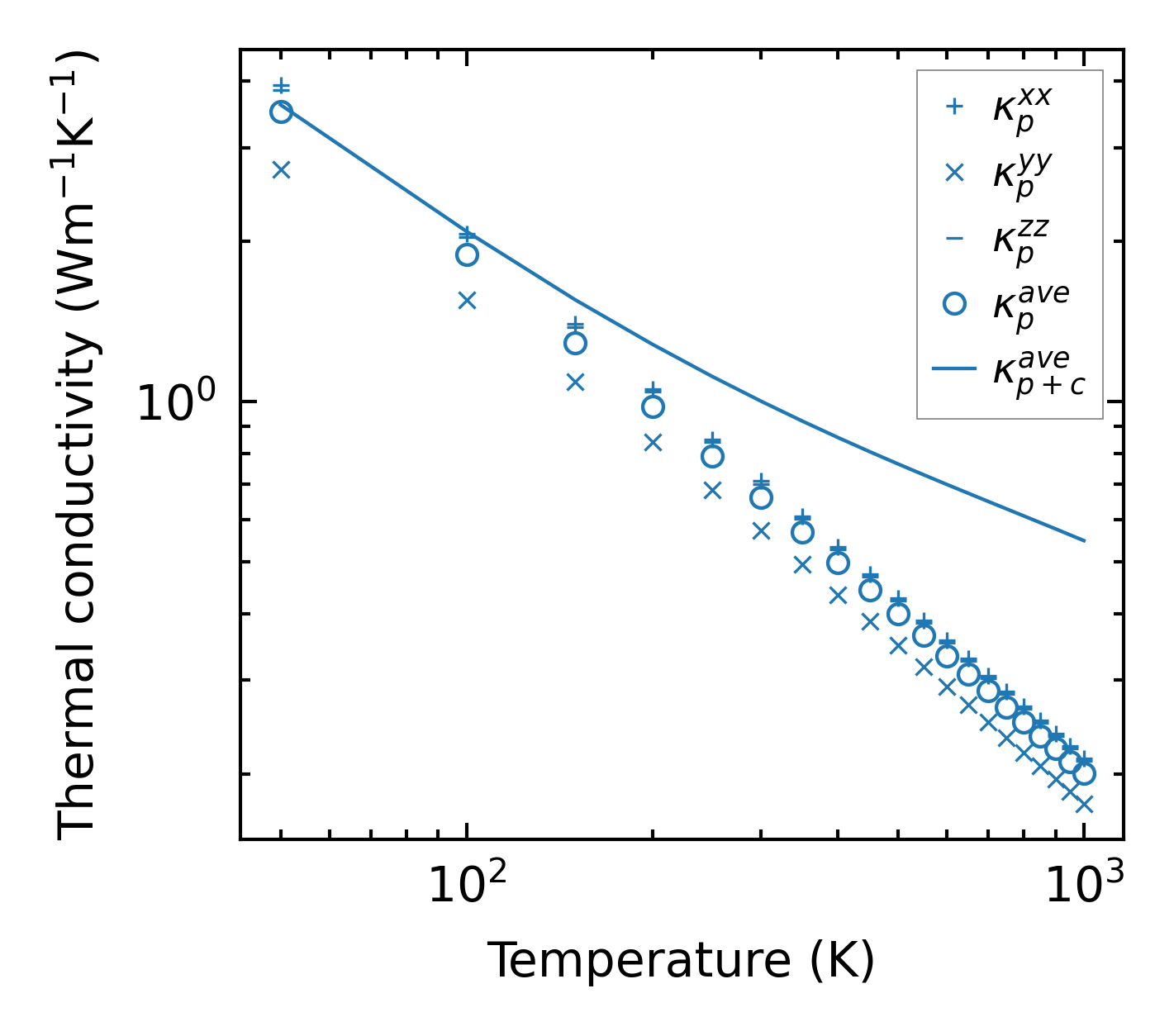
../../_images/fig_kappa2405.png

(a) Temperature-dependent lattice thermal conductivity

../../_images/fig_times3608.png

(b) Computation time