mp-776250/Zr2N2O/anharm

Harmonic properties

../../_images/fig_bandos_pr2264.png

(a) Phonon dispersion with participation ratio and DOS

../../_images/fig_thermo2264.png

(b) Thermodynamic properties

Grüneisen parameters

../../_images/fig_gru_all1256.png

(a) Grüneisen parameters

../../_images/fig_gruneisen1256.png

(b) Phonon dispersion with Grüneisen parameters

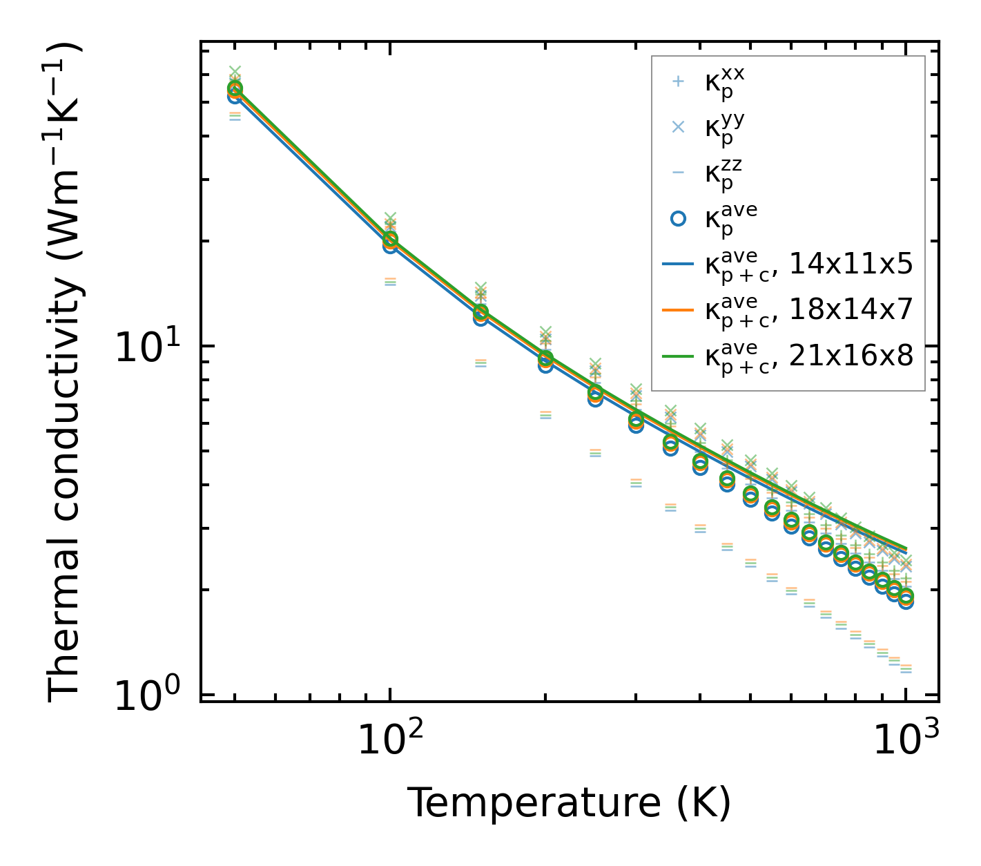
Thermal conductivity

3-phonon (LASSO) — q-mesh: 21x16x8, supercell: 3x3x1

../../_images/fig_kappa2417.png

(a) Temperature-dependent lattice thermal conductivity

../../_images/fig_kappa_vs_grain_size1272.png

(b) Peierls lattice thermal conductivity w.r.t grain size

Phonon lifetime and scattering rates

../../_images/fig_lifetime1246.png

(a) Phonon lifetime due to phonon-phonon scattering

../../_images/fig_scat_rates1245.png

(b) Phonon scattering rates

Cumulative and spectral thermal conductivity

../../_images/fig_cumu_frequency1246.png

(a) Spectral and cumulative thermal conductivity w.r.t frequency

../../_images/fig_cumu_mfp1246.png

(b) Spectral and cumulative thermal conductivity w.r.t MFP

Force constants

../../_images/fig_fc22085.png

(a) Force constants w.r.t atomic distance

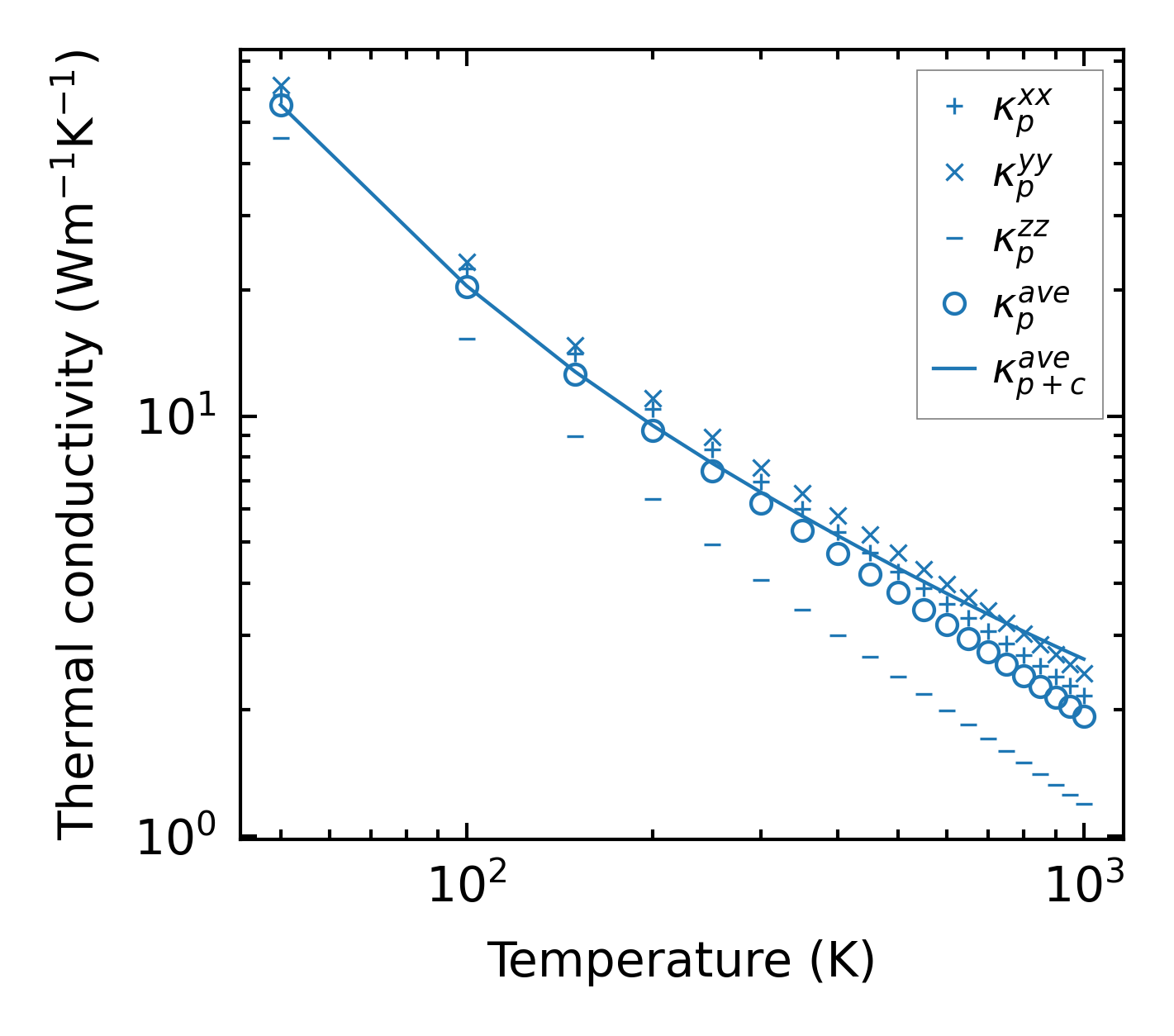
Summary

../../_images/fig_kappa2418.png

(a) Temperature-dependent lattice thermal conductivity

../../_images/fig_times3649.png

(b) Computation time