mp-776081-2/K2O/anharm

Harmonic properties

../../_images/fig_bandos_pr2256.png

(a) Phonon dispersion with participation ratio and DOS

../../_images/fig_bandos2493.png

(b) Phonon dispersion and DOS

../../_images/fig_thermo2256.png

(c) Thermodynamic properties

Grüneisen parameters

../../_images/fig_gru_all1250.png

(a) Grüneisen parameters

../../_images/fig_gruneisen1250.png

(b) Phonon dispersion with Grüneisen parameters

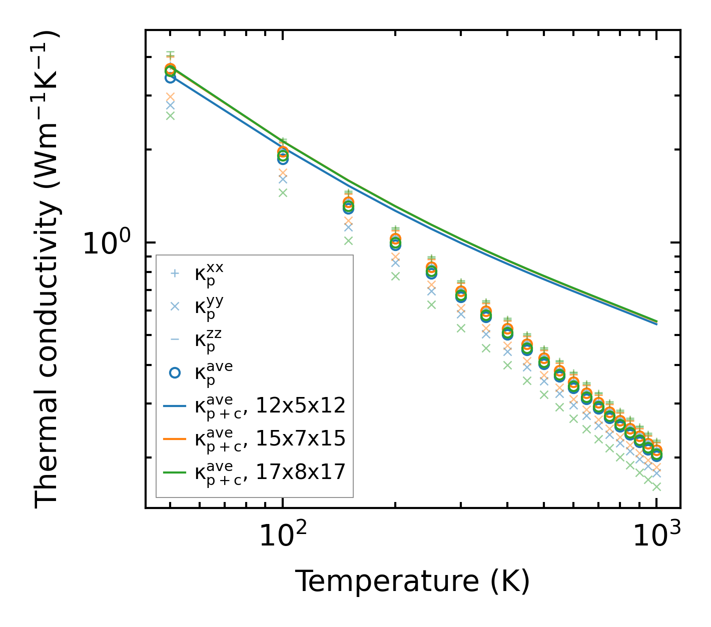
Thermal conductivity

3-phonon (LASSO) — q-mesh: 17x8x17, supercell: 4x2x3

../../_images/fig_kappa2406.png

(a) Temperature-dependent lattice thermal conductivity

../../_images/fig_kappa_vs_grain_size1266.png

(b) Peierls lattice thermal conductivity w.r.t grain size

Phonon lifetime and scattering rates

../../_images/fig_lifetime1240.png

(a) Phonon lifetime due to phonon-phonon scattering

../../_images/fig_scat_rates1239.png

(b) Phonon scattering rates

Cumulative and spectral thermal conductivity

../../_images/fig_cumu_frequency1240.png

(a) Spectral and cumulative thermal conductivity w.r.t frequency

../../_images/fig_cumu_mfp1240.png

(b) Spectral and cumulative thermal conductivity w.r.t MFP

Force constants

../../_images/fig_fc22077.png

(a) Force constants w.r.t atomic distance

Summary

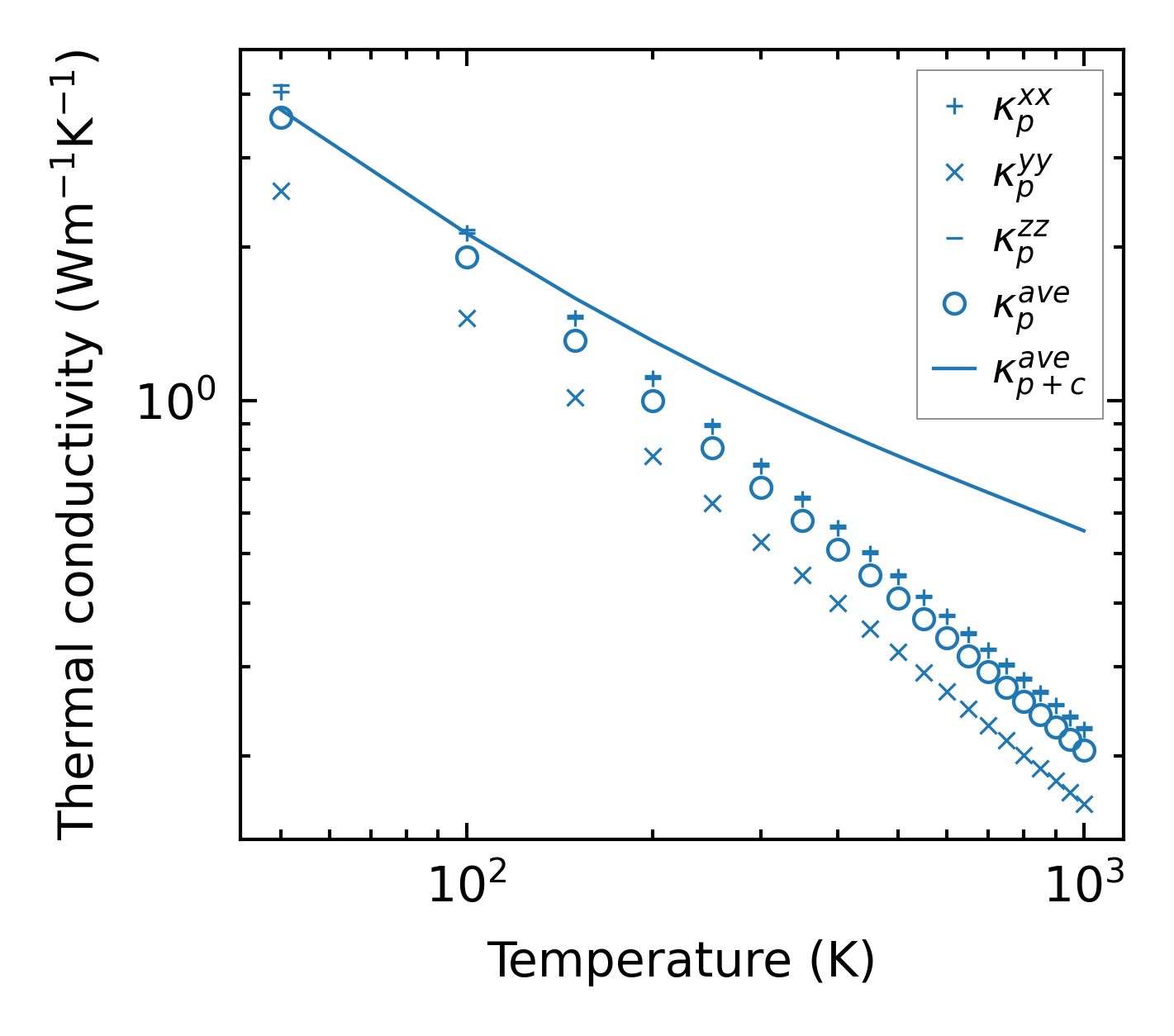
../../_images/fig_kappa2407.png

(a) Temperature-dependent lattice thermal conductivity

../../_images/fig_times3609.png

(b) Computation time