mp-776427/ZrO2/anharm

Harmonic properties

../../_images/fig_bandos_pr2282.png

(a) Phonon dispersion with participation ratio and DOS

../../_images/fig_thermo2282.png

(b) Thermodynamic properties

Grüneisen parameters

../../_images/fig_gru_all1262.png

(a) Grüneisen parameters

../../_images/fig_gruneisen1262.png

(b) Phonon dispersion with Grüneisen parameters

Thermal conductivity

3-phonon (LASSO) — q-mesh: 13x7x12, supercell: 2x1x2

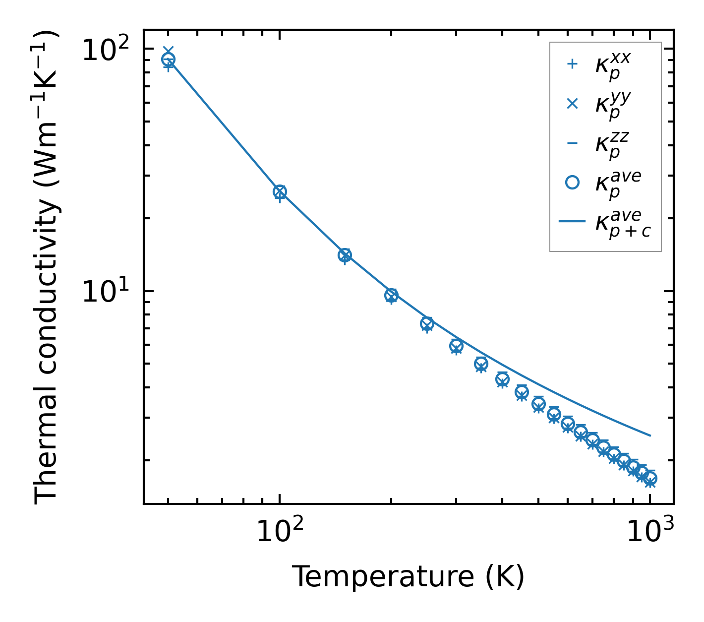
../../_images/fig_kappa2428.png

(a) Temperature-dependent lattice thermal conductivity

../../_images/fig_kappa_vs_grain_size1278.png

(b) Peierls lattice thermal conductivity w.r.t grain size

Phonon lifetime and scattering rates

../../_images/fig_lifetime1252.png

(a) Phonon lifetime due to phonon-phonon scattering

../../_images/fig_scat_rates1251.png

(b) Phonon scattering rates

Cumulative and spectral thermal conductivity

../../_images/fig_cumu_frequency1252.png

(a) Spectral and cumulative thermal conductivity w.r.t frequency

../../_images/fig_cumu_mfp1252.png

(b) Spectral and cumulative thermal conductivity w.r.t MFP

Force constants

../../_images/fig_fc22103.png

(a) Force constants w.r.t atomic distance

Summary

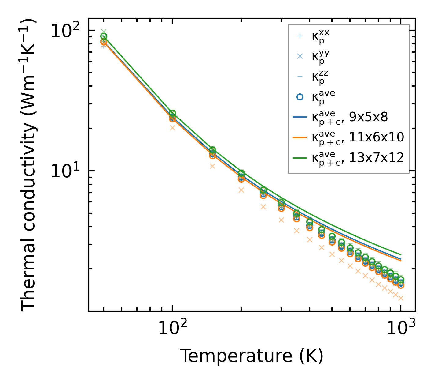
../../_images/fig_kappa2429.png

(a) Temperature-dependent lattice thermal conductivity

../../_images/fig_times3701.png

(b) Computation time