mp-776270/CoPO4/anharm

Harmonic properties

../../_images/fig_bandos_pr2268.png

(a) Phonon dispersion with participation ratio and DOS

../../_images/fig_thermo2268.png

(b) Thermodynamic properties

Grüneisen parameters

../../_images/fig_gru_all1258.png

(a) Grüneisen parameters

../../_images/fig_gruneisen1258.png

(b) Phonon dispersion with Grüneisen parameters

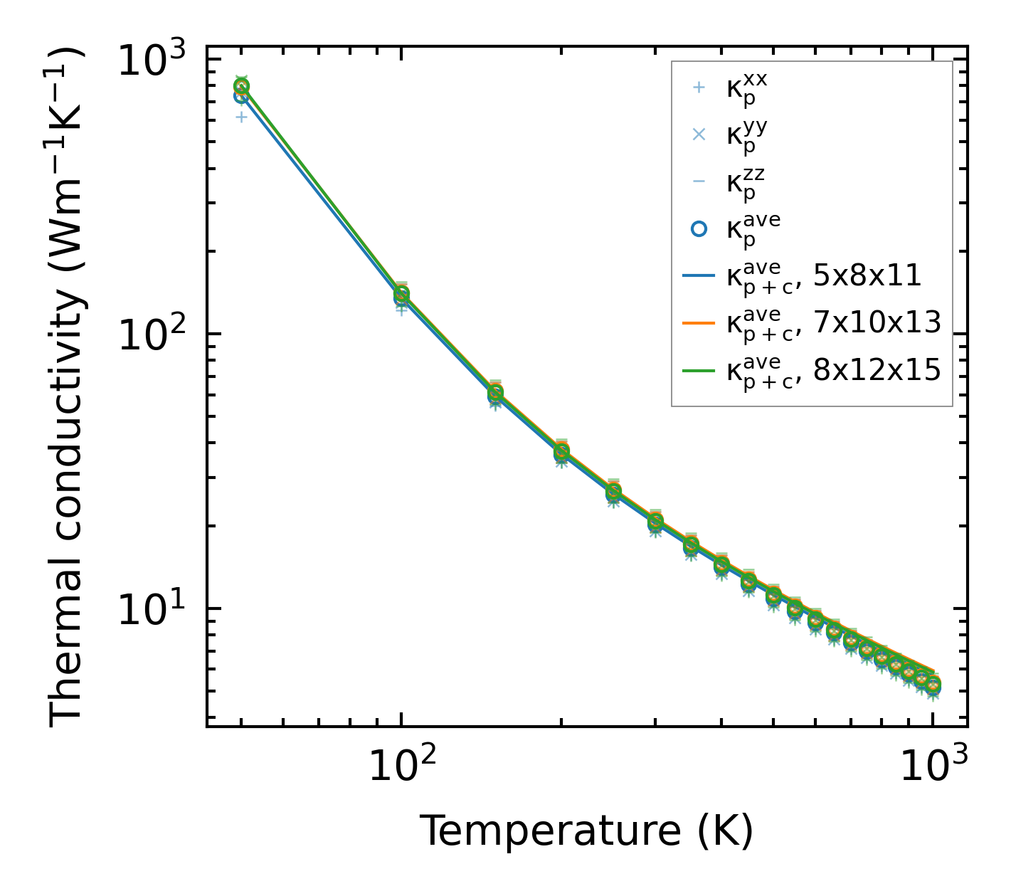
Thermal conductivity

3-phonon (LASSO) — q-mesh: 8x12x15, supercell: 1x2x2

../../_images/fig_kappa2420.png

(a) Temperature-dependent lattice thermal conductivity

../../_images/fig_kappa_vs_grain_size1274.png

(b) Peierls lattice thermal conductivity w.r.t grain size

Phonon lifetime and scattering rates

../../_images/fig_lifetime1248.png

(a) Phonon lifetime due to phonon-phonon scattering

../../_images/fig_scat_rates1247.png

(b) Phonon scattering rates

Cumulative and spectral thermal conductivity

../../_images/fig_cumu_frequency1248.png

(a) Spectral and cumulative thermal conductivity w.r.t frequency

../../_images/fig_cumu_mfp1248.png

(b) Spectral and cumulative thermal conductivity w.r.t MFP

Force constants

../../_images/fig_fc22089.png

(a) Force constants w.r.t atomic distance

Summary

../../_images/fig_kappa2421.png

(a) Temperature-dependent lattice thermal conductivity

../../_images/fig_times3662.png

(b) Computation time