mp-776150-2/ScAgO3/anharm

Equation of state

../../_images/fig_bm1056.png

(a) Equation of state

Harmonic properties

../../_images/fig_bandos_pr2261.png

(a) Phonon dispersion with participation ratio and DOS

../../_images/fig_bandos2506.png

(b) Phonon dispersion and DOS

../../_images/fig_thermo2261.png

(c) Thermodynamic properties

Grüneisen parameters

../../_images/fig_gru_all1253.png

(a) Grüneisen parameters

../../_images/fig_gruneisen1253.png

(b) Phonon dispersion with Grüneisen parameters

Thermal conductivity

3-phonon (LASSO), supercell 2x1x4 — q-mesh: 11x11x22, supercell: 2x1x4

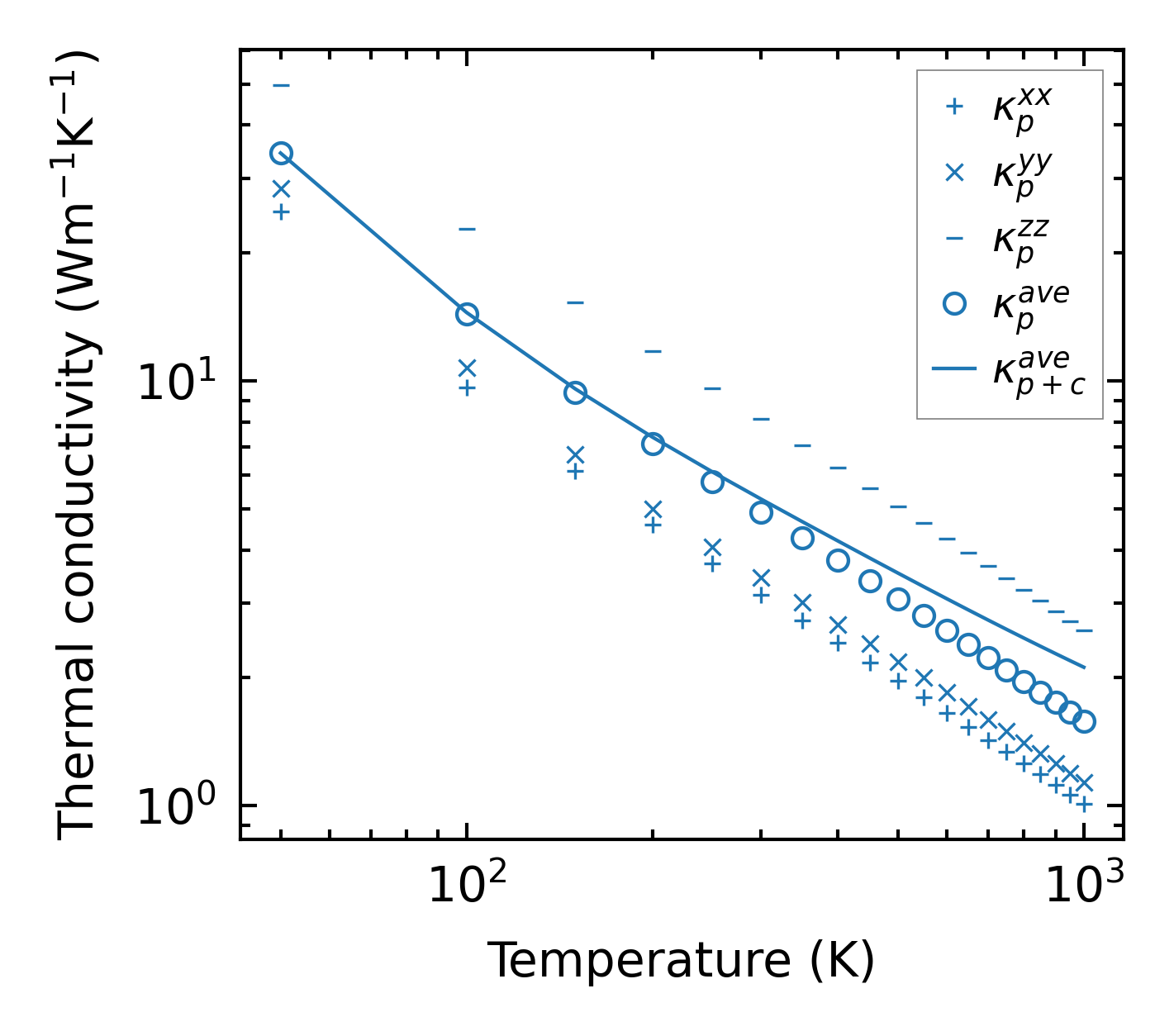
../../_images/fig_kappa2412.png

(a) Temperature-dependent lattice thermal conductivity

../../_images/fig_kappa_vs_grain_size1269.png

(b) Peierls lattice thermal conductivity w.r.t grain size

Phonon lifetime and scattering rates

../../_images/fig_lifetime1243.png

(a) Phonon lifetime due to phonon-phonon scattering

../../_images/fig_scat_rates1242.png

(b) Phonon scattering rates

Cumulative and spectral thermal conductivity

../../_images/fig_cumu_frequency1243.png

(a) Spectral and cumulative thermal conductivity w.r.t frequency

../../_images/fig_cumu_mfp1243.png

(b) Spectral and cumulative thermal conductivity w.r.t MFP

Force constants

../../_images/fig_fc22082.png

(a) Force constants w.r.t atomic distance

Summary

../../_images/fig_times3624.png

(a) Computation time