mp-505825/Cs2PtC2/anharm

Harmonic properties

../../_images/fig_bandos_pr9903.png

(a) Phonon dispersion with participation ratio and DOS

../../_images/fig_thermo9903.png

(b) Thermodynamic properties

Grüneisen parameters

../../_images/fig_gru_all3967.png

(a) Grüneisen parameters

../../_images/fig_gruneisen3967.png

(b) Phonon dispersion with Grüneisen parameters

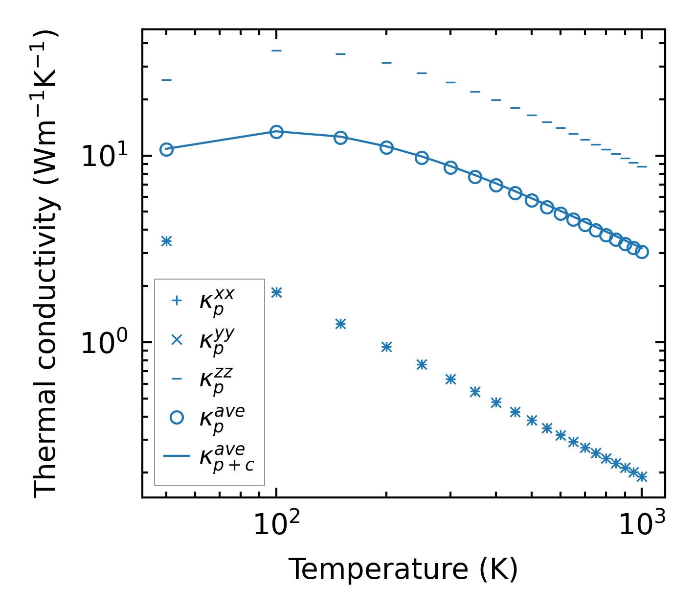
Thermal conductivity

3-phonon (LASSO) — q-mesh: 13x13x14, supercell: 3x3x3

../../_images/fig_kappa7481.png

(a) Temperature-dependent lattice thermal conductivity

../../_images/fig_kappa_vs_grain_size4019.png

(b) Peierls lattice thermal conductivity w.r.t grain size

Phonon lifetime and scattering rates

../../_images/fig_lifetime3930.png

(a) Phonon lifetime due to phonon-phonon scattering

../../_images/fig_scat_rates3929.png

(b) Phonon scattering rates

Cumulative and spectral thermal conductivity

../../_images/fig_cumu_frequency3930.png

(a) Spectral and cumulative thermal conductivity w.r.t frequency

../../_images/fig_cumu_mfp3929.png

(b) Spectral and cumulative thermal conductivity w.r.t MFP

Force constants

../../_images/fig_fc29657.png

(a) Force constants w.r.t atomic distance

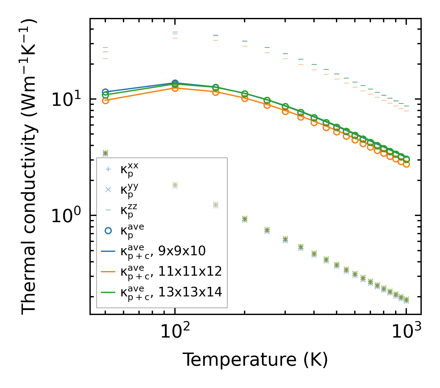
Summary

../../_images/fig_kappa7482.png

(a) Temperature-dependent lattice thermal conductivity

../../_images/fig_times17209.png

(b) Computation time