mp-505045/Na5In2Te6/anharm

Harmonic properties

../../_images/fig_bandos_pr9843.png

(a) Phonon dispersion with participation ratio and DOS

../../_images/fig_thermo9843.png

(b) Thermodynamic properties

Grüneisen parameters

../../_images/fig_gru_all3935.png

(a) Grüneisen parameters

../../_images/fig_gruneisen3935.png

(b) Phonon dispersion with Grüneisen parameters

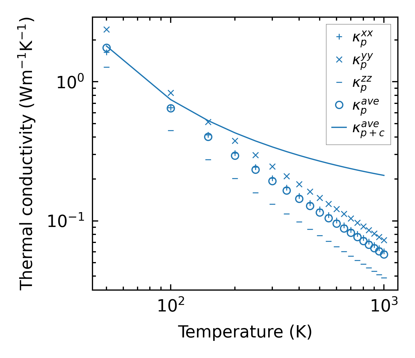
Thermal conductivity

3-phonon (LASSO) — q-mesh: 8x8x3, supercell: 1x1x1

../../_images/fig_kappa7418.png

(a) Temperature-dependent lattice thermal conductivity

../../_images/fig_kappa_vs_grain_size3986.png

(b) Peierls lattice thermal conductivity w.r.t grain size

Phonon lifetime and scattering rates

../../_images/fig_lifetime3898.png

(a) Phonon lifetime due to phonon-phonon scattering

../../_images/fig_scat_rates3897.png

(b) Phonon scattering rates

Cumulative and spectral thermal conductivity

../../_images/fig_cumu_frequency3898.png

(a) Spectral and cumulative thermal conductivity w.r.t frequency

../../_images/fig_cumu_mfp3897.png

(b) Spectral and cumulative thermal conductivity w.r.t MFP

Force constants

../../_images/fig_fc29598.png

(a) Force constants w.r.t atomic distance

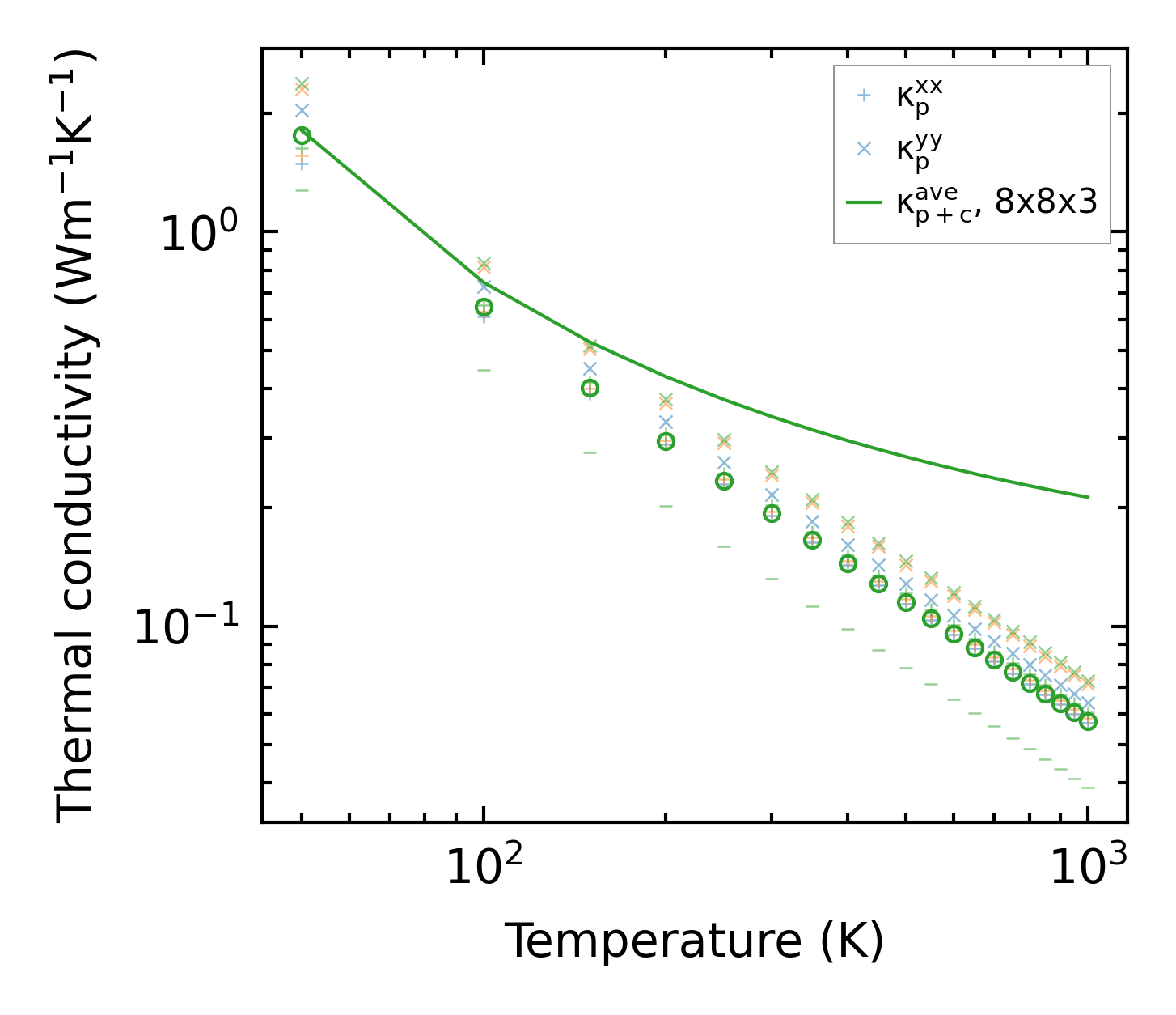
Summary

../../_images/fig_kappa7419.png

(a) Temperature-dependent lattice thermal conductivity

../../_images/fig_times17109.png

(b) Computation time