mp-505767/K2NaInSb2/anharm

Harmonic properties

../../_images/fig_bandos_pr9896.png

(a) Phonon dispersion with participation ratio and DOS

../../_images/fig_thermo9896.png

(b) Thermodynamic properties

Grüneisen parameters

../../_images/fig_gru_all3963.png

(a) Grüneisen parameters

../../_images/fig_gruneisen3963.png

(b) Phonon dispersion with Grüneisen parameters

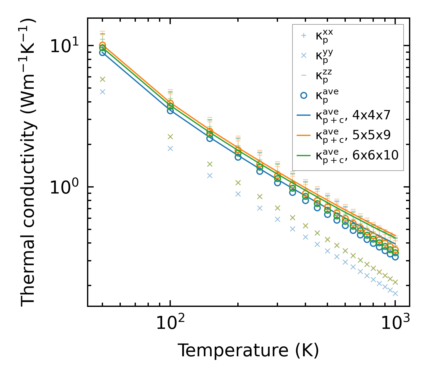
Thermal conductivity

3-phonon (LASSO) — q-mesh: 6x6x10, supercell: 1x1x3

../../_images/fig_kappa7473.png

(a) Temperature-dependent lattice thermal conductivity

../../_images/fig_kappa_vs_grain_size4015.png

(b) Peierls lattice thermal conductivity w.r.t grain size

Phonon lifetime and scattering rates

../../_images/fig_lifetime3926.png

(a) Phonon lifetime due to phonon-phonon scattering

../../_images/fig_scat_rates3925.png

(b) Phonon scattering rates

Cumulative and spectral thermal conductivity

../../_images/fig_cumu_frequency3926.png

(a) Spectral and cumulative thermal conductivity w.r.t frequency

../../_images/fig_cumu_mfp3925.png

(b) Spectral and cumulative thermal conductivity w.r.t MFP

Force constants

../../_images/fig_fc29650.png

(a) Force constants w.r.t atomic distance

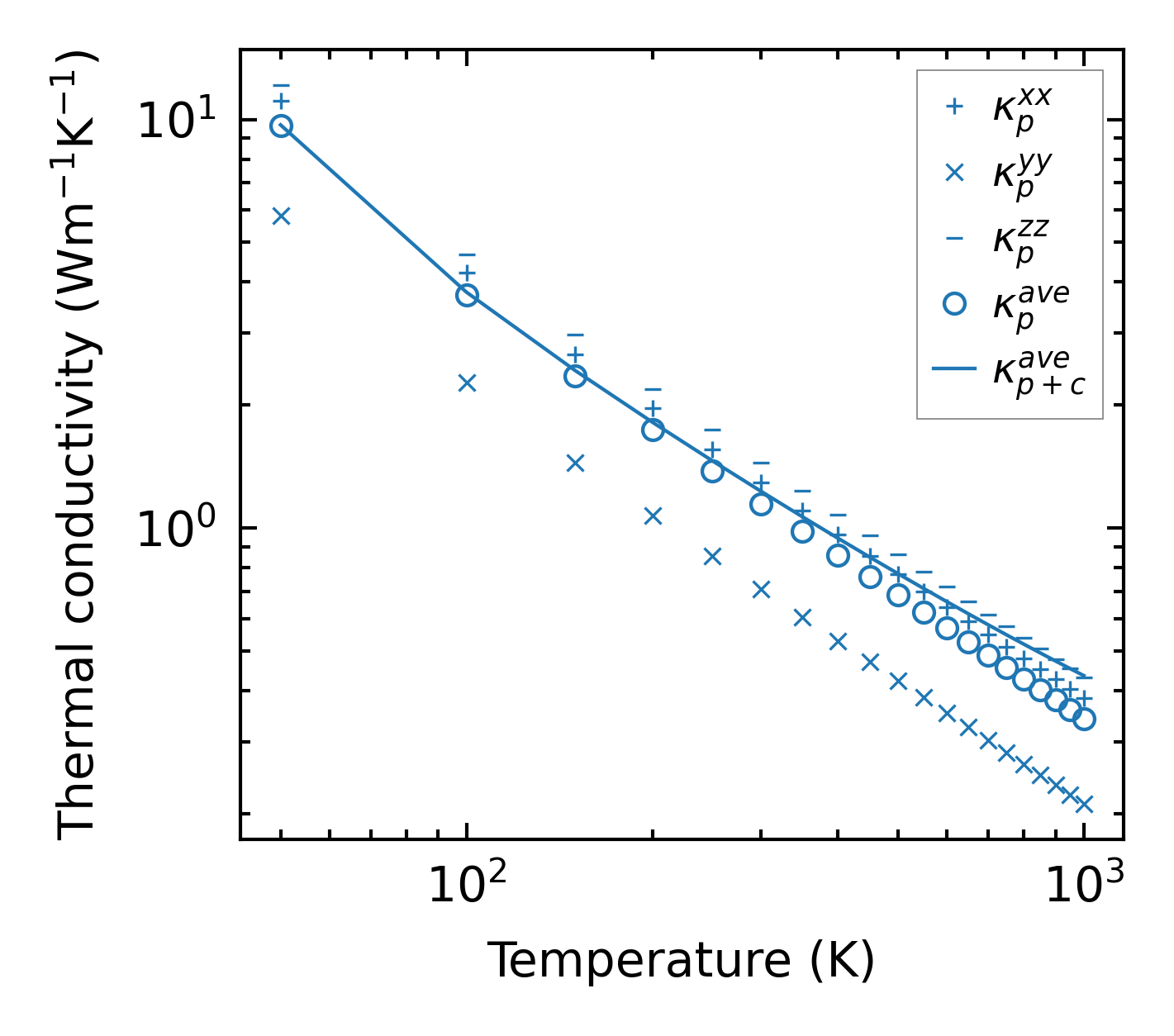
Summary

../../_images/fig_kappa7474.png

(a) Temperature-dependent lattice thermal conductivity

../../_images/fig_times17196.png

(b) Computation time