mp-505721-2/Rb3VS4/anharm

Equation of state

../../_images/fig_bm4926.png

(a) Equation of state

Harmonic properties

../../_images/fig_bandos_pr9892.png

(a) Phonon dispersion with participation ratio and DOS

../../_images/fig_thermo9892.png

(b) Thermodynamic properties

Grüneisen parameters

../../_images/fig_gru_all3960.png

(a) Grüneisen parameters

../../_images/fig_gruneisen3960.png

(b) Phonon dispersion with Grüneisen parameters

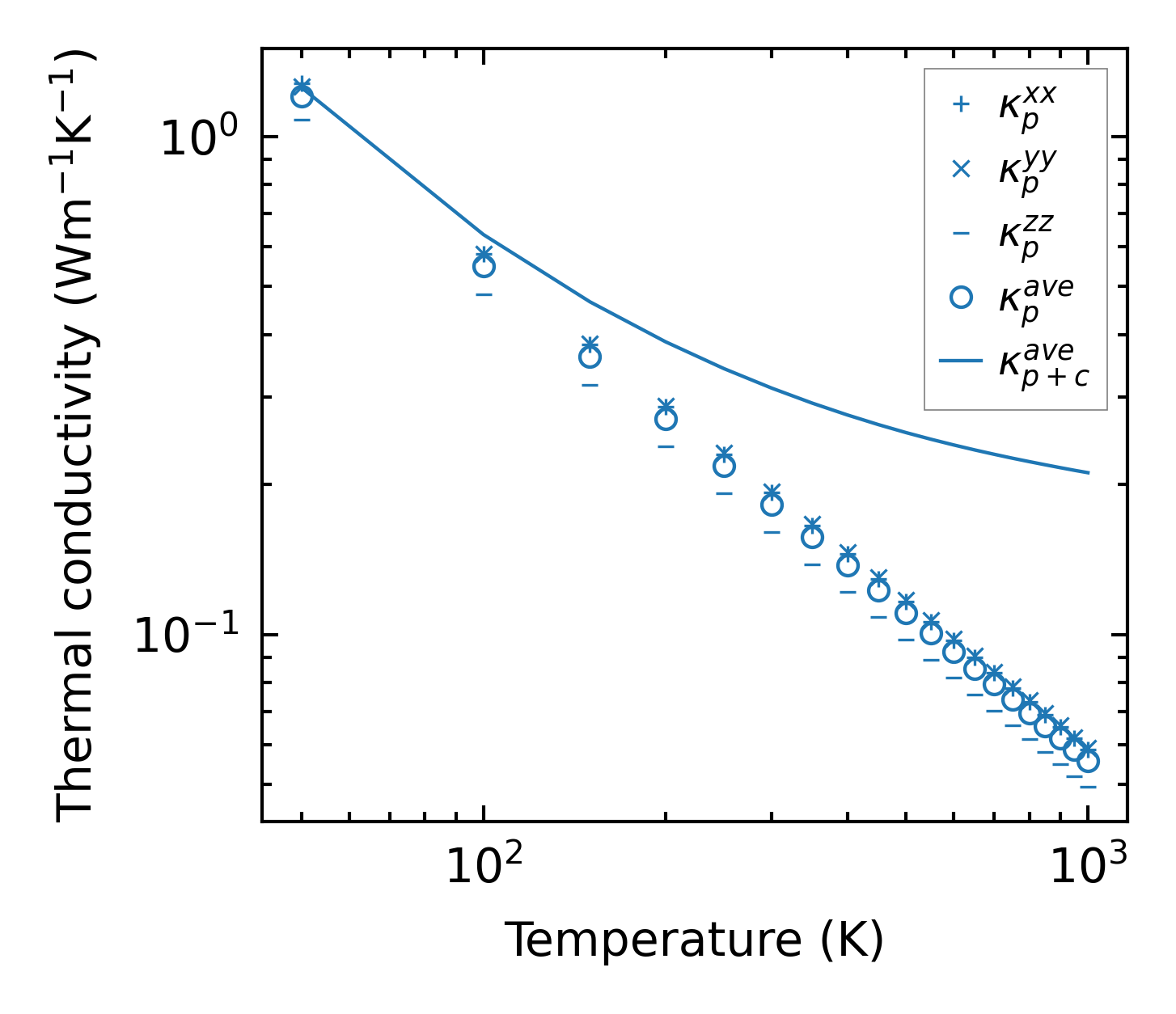
Thermal conductivity

3-phonon (LASSO) — q-mesh: 7x6x7, supercell: 2x1x2

../../_images/fig_kappa7467.png

(a) Temperature-dependent lattice thermal conductivity

../../_images/fig_kappa_vs_grain_size4011.png

(b) Peierls lattice thermal conductivity w.r.t grain size

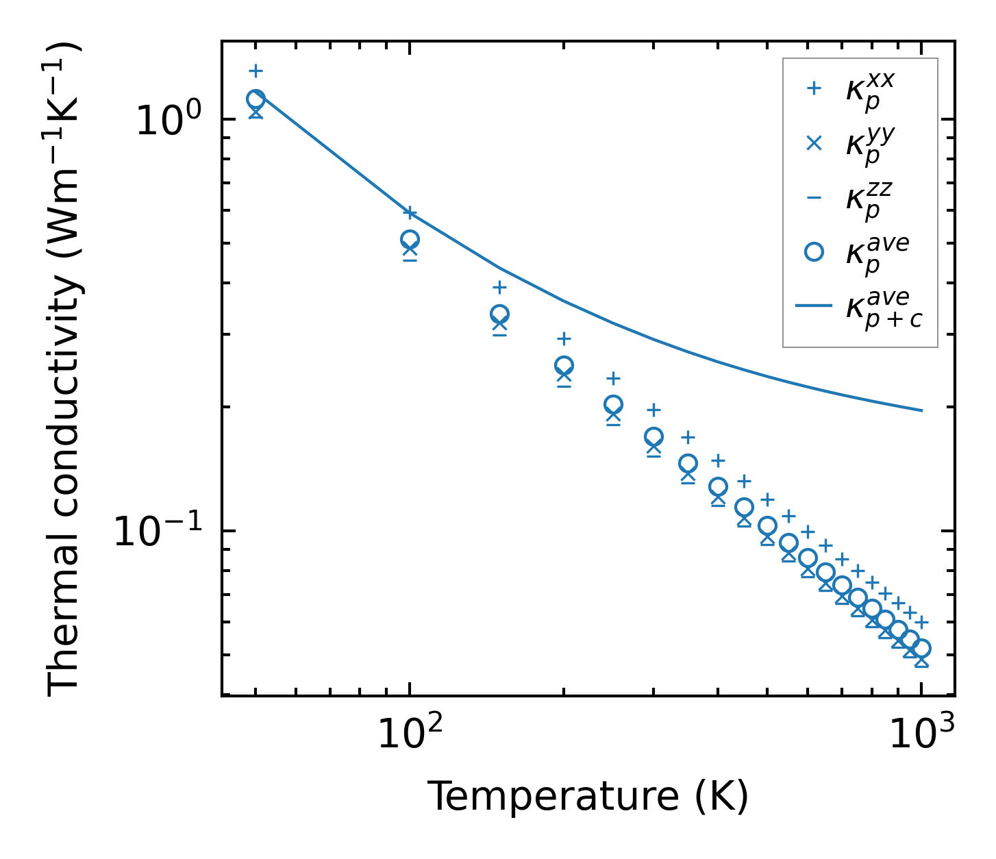
3-phonon (LASSO), supercell 2x2x2 — q-mesh: 7x6x7, supercell: 2x2x2

../../_images/fig_kappa7468.png

(a) Temperature-dependent lattice thermal conductivity

../../_images/fig_kappa_vs_grain_size4012.png

(b) Peierls lattice thermal conductivity w.r.t grain size

Phonon lifetime and scattering rates

../../_images/fig_lifetime3923.png

(a) Phonon lifetime due to phonon-phonon scattering

../../_images/fig_scat_rates3922.png

(b) Phonon scattering rates

Cumulative and spectral thermal conductivity

../../_images/fig_cumu_frequency3923.png

(a) Spectral and cumulative thermal conductivity w.r.t frequency

../../_images/fig_cumu_mfp3922.png

(b) Spectral and cumulative thermal conductivity w.r.t MFP

Force constants

../../_images/fig_fc29646.png

(a) Force constants w.r.t atomic distance

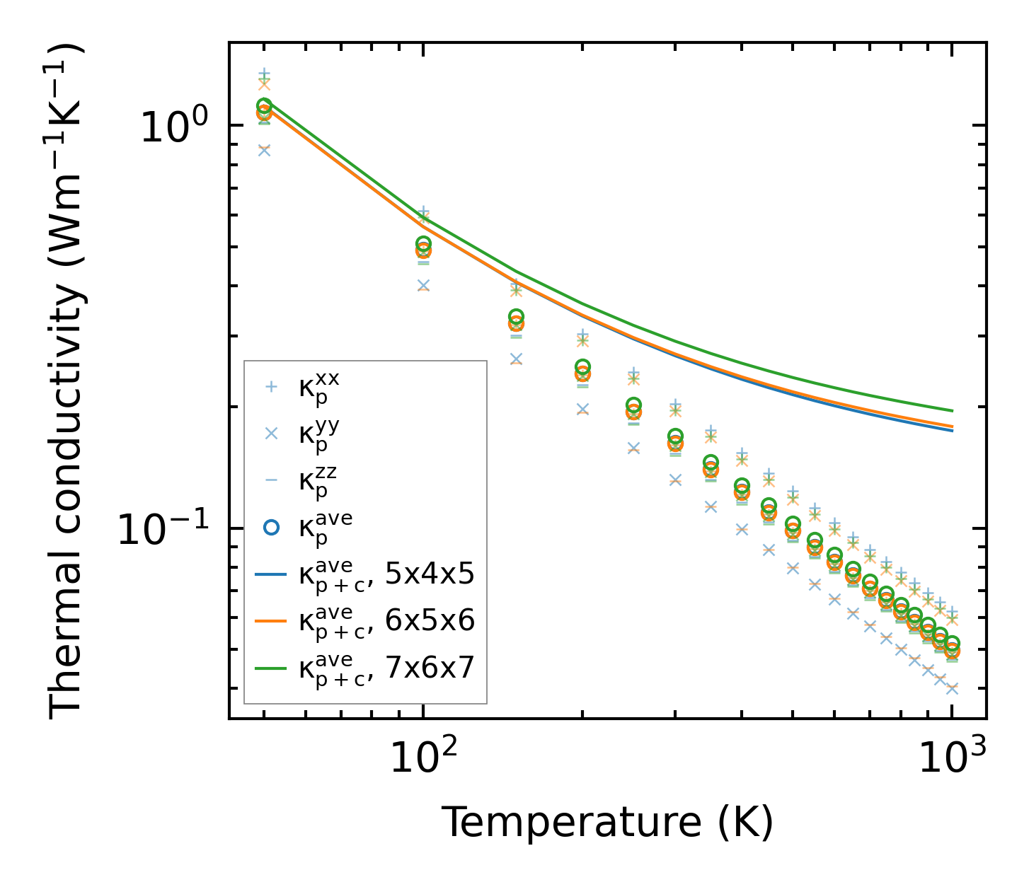
Summary

../../_images/fig_kappa7469.png

(a) Temperature-dependent lattice thermal conductivity

../../_images/fig_times17190.png

(b) Computation time