mp-505464/Cs2Te13/anharm

Harmonic properties

../../_images/fig_bandos_pr9880.png

(a) Phonon dispersion with participation ratio and DOS

../../_images/fig_thermo9880.png

(b) Thermodynamic properties

Grüneisen parameters

../../_images/fig_gru_all3951.png

(a) Grüneisen parameters

../../_images/fig_gruneisen3951.png

(b) Phonon dispersion with Grüneisen parameters

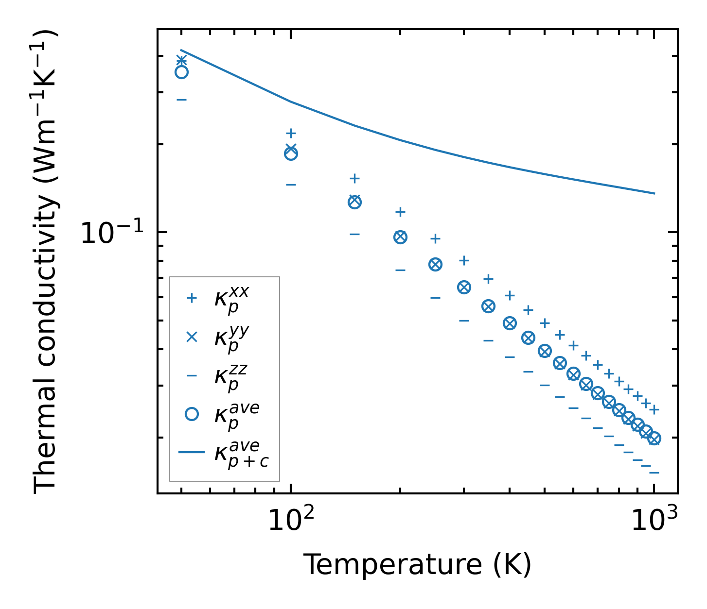
Thermal conductivity

3-phonon (LASSO) — q-mesh: 9x5x3, supercell: 2x1x1

../../_images/fig_kappa7449.png

(a) Temperature-dependent lattice thermal conductivity

../../_images/fig_kappa_vs_grain_size4002.png

(b) Peierls lattice thermal conductivity w.r.t grain size

Phonon lifetime and scattering rates

../../_images/fig_lifetime3914.png

(a) Phonon lifetime due to phonon-phonon scattering

../../_images/fig_scat_rates3913.png

(b) Phonon scattering rates

Cumulative and spectral thermal conductivity

../../_images/fig_cumu_frequency3914.png

(a) Spectral and cumulative thermal conductivity w.r.t frequency

../../_images/fig_cumu_mfp3913.png

(b) Spectral and cumulative thermal conductivity w.r.t MFP

Force constants

../../_images/fig_fc29634.png

(a) Force constants w.r.t atomic distance

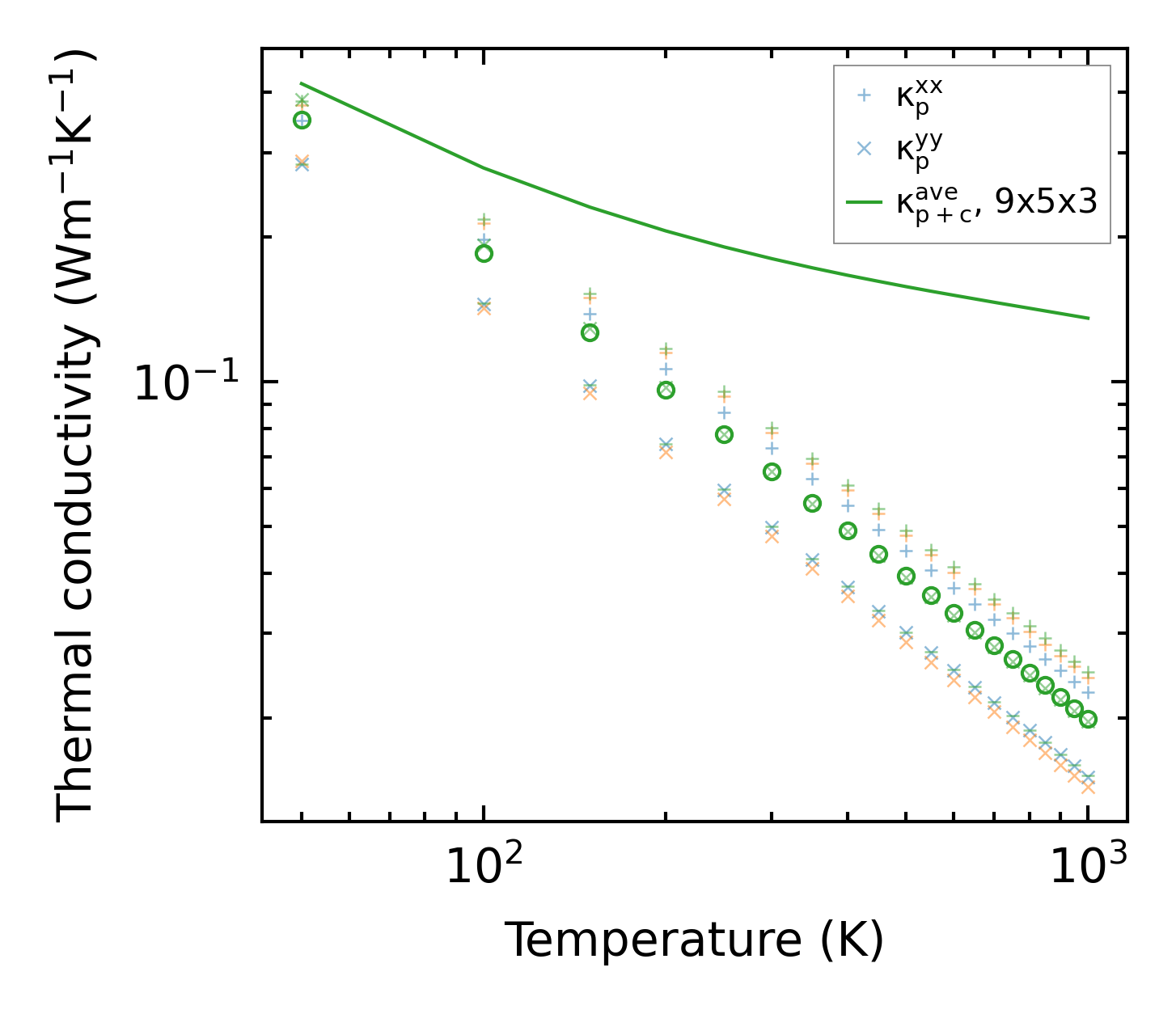
Summary

../../_images/fig_kappa7450.png

(a) Temperature-dependent lattice thermal conductivity

../../_images/fig_times17163.png

(b) Computation time