mp-505362/CaLu2S4/anharm

Harmonic properties

../../_images/fig_bandos_pr9872.png

(a) Phonon dispersion with participation ratio and DOS

../../_images/fig_thermo9872.png

(b) Thermodynamic properties

Grüneisen parameters

../../_images/fig_gru_all3946.png

(a) Grüneisen parameters

../../_images/fig_gruneisen3946.png

(b) Phonon dispersion with Grüneisen parameters

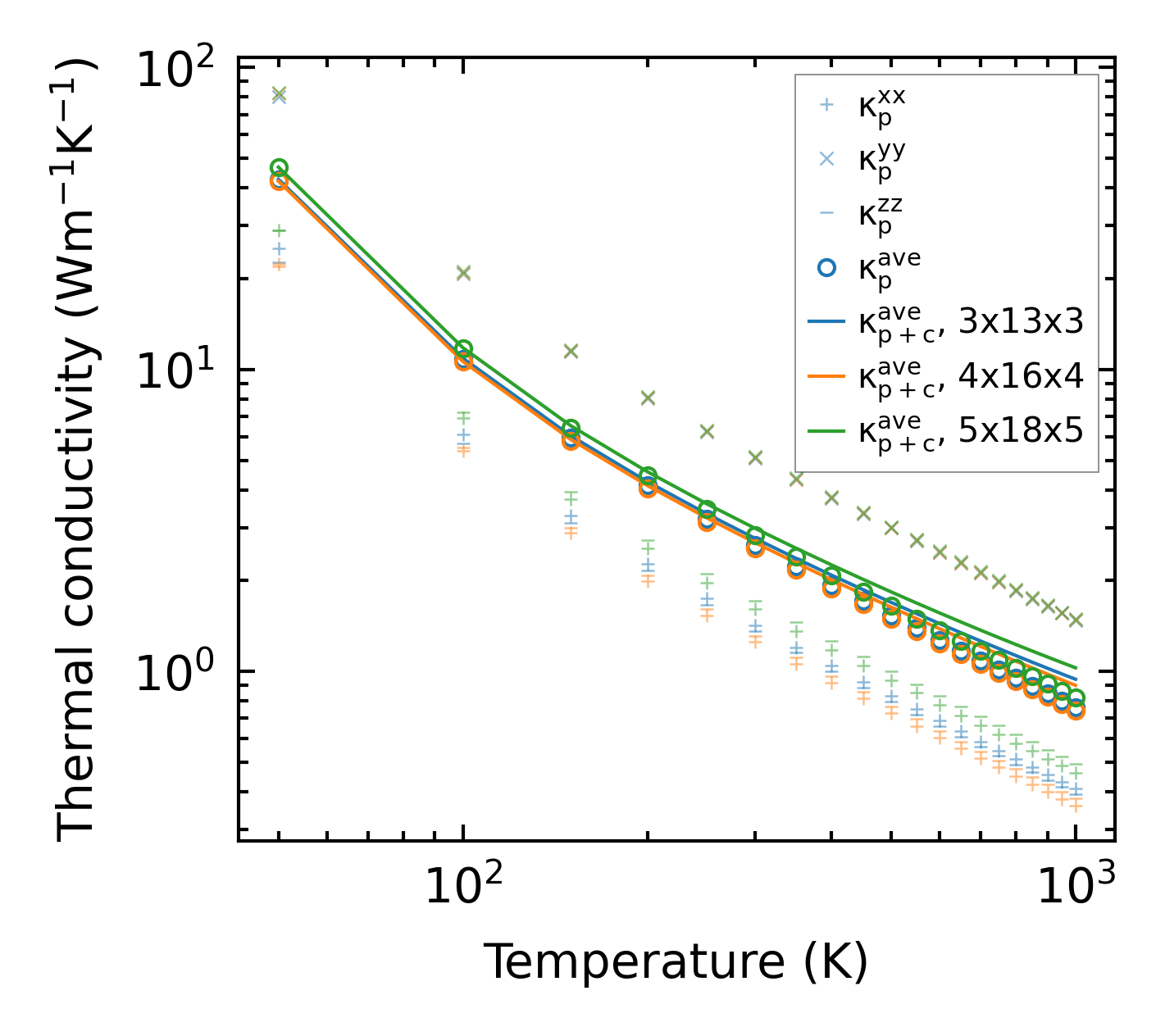
Thermal conductivity

3-phonon (LASSO) — q-mesh: 5x18x5, supercell: 1x4x1

../../_images/fig_kappa7439.png

(a) Temperature-dependent lattice thermal conductivity

../../_images/fig_kappa_vs_grain_size3997.png

(b) Peierls lattice thermal conductivity w.r.t grain size

Phonon lifetime and scattering rates

../../_images/fig_lifetime3909.png

(a) Phonon lifetime due to phonon-phonon scattering

../../_images/fig_scat_rates3908.png

(b) Phonon scattering rates

Cumulative and spectral thermal conductivity

../../_images/fig_cumu_frequency3909.png

(a) Spectral and cumulative thermal conductivity w.r.t frequency

../../_images/fig_cumu_mfp3908.png

(b) Spectral and cumulative thermal conductivity w.r.t MFP

Force constants

../../_images/fig_fc29626.png

(a) Force constants w.r.t atomic distance

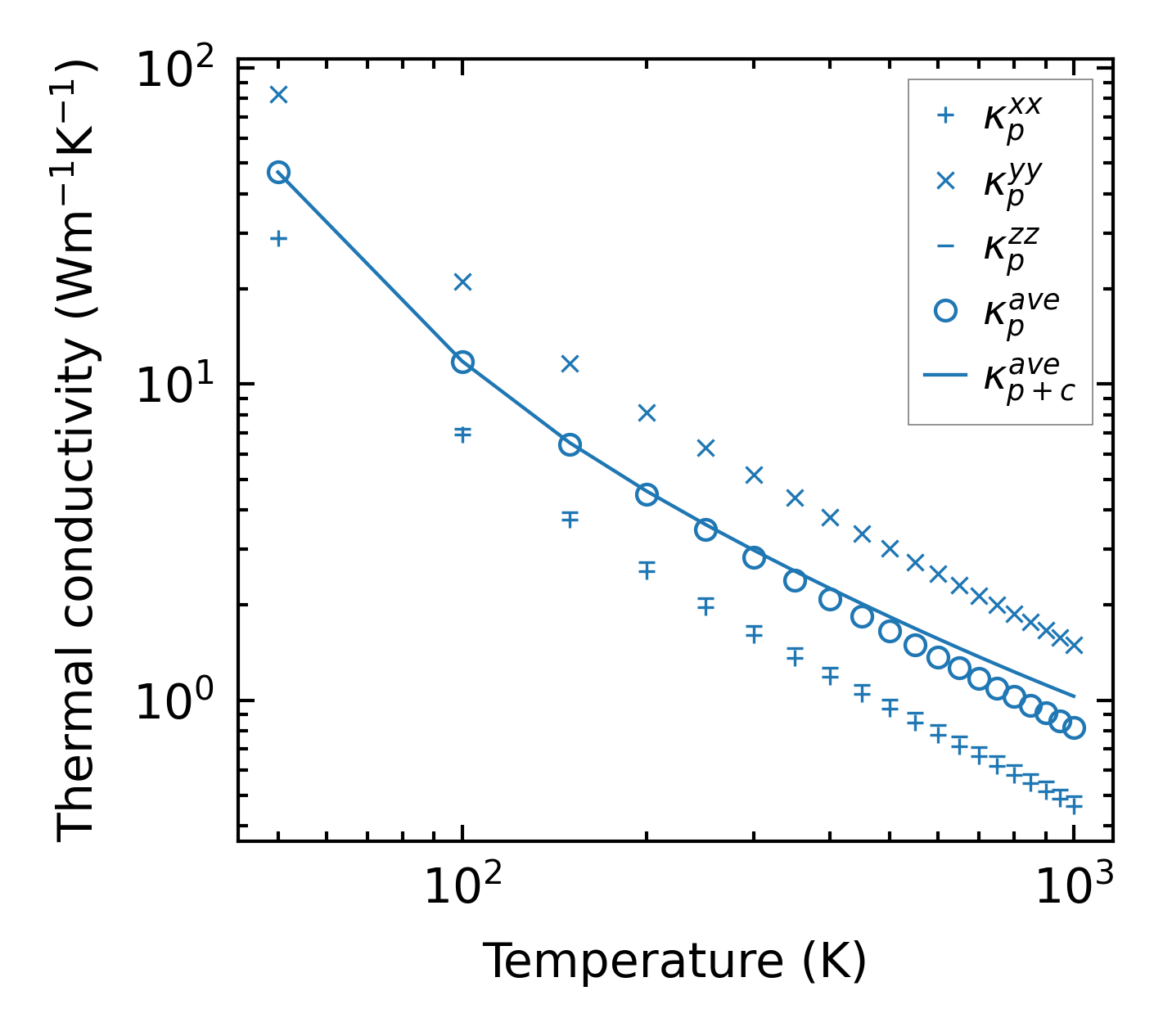
Summary

../../_images/fig_kappa7440.png

(a) Temperature-dependent lattice thermal conductivity

../../_images/fig_times17150.png

(b) Computation time