mp-505451/HS9N/anharm

Harmonic properties

../../_images/fig_bandos_pr9879.png

(a) Phonon dispersion with participation ratio and DOS

../../_images/fig_thermo9879.png

(b) Thermodynamic properties

Grüneisen parameters

../../_images/fig_gru_all3950.png

(a) Grüneisen parameters

../../_images/fig_gruneisen3950.png

(b) Phonon dispersion with Grüneisen parameters

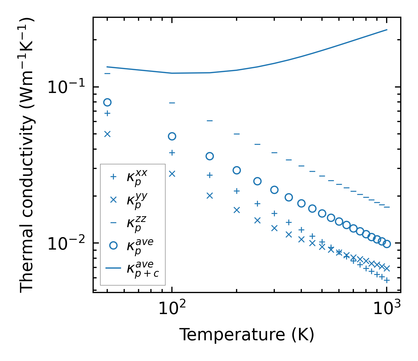
Thermal conductivity

3-phonon (LASSO) — q-mesh: 5x4x13, supercell: 1x1x3

../../_images/fig_kappa7447.png

(a) Temperature-dependent lattice thermal conductivity

../../_images/fig_kappa_vs_grain_size4001.png

(b) Peierls lattice thermal conductivity w.r.t grain size

Phonon lifetime and scattering rates

../../_images/fig_lifetime3913.png

(a) Phonon lifetime due to phonon-phonon scattering

../../_images/fig_scat_rates3912.png

(b) Phonon scattering rates

Cumulative and spectral thermal conductivity

../../_images/fig_cumu_frequency3913.png

(a) Spectral and cumulative thermal conductivity w.r.t frequency

../../_images/fig_cumu_mfp3912.png

(b) Spectral and cumulative thermal conductivity w.r.t MFP

Force constants

../../_images/fig_fc29633.png

(a) Force constants w.r.t atomic distance

Summary

../../_images/fig_kappa7448.png

(a) Temperature-dependent lattice thermal conductivity

../../_images/fig_times17162.png

(b) Computation time