mp-505712/CsHoZnSe3/anharm

Harmonic properties

../../_images/fig_bandos_pr9890.png

(a) Phonon dispersion with participation ratio and DOS

../../_images/fig_thermo9890.png

(b) Thermodynamic properties

Grüneisen parameters

../../_images/fig_gru_all3958.png

(a) Grüneisen parameters

../../_images/fig_gruneisen3958.png

(b) Phonon dispersion with Grüneisen parameters

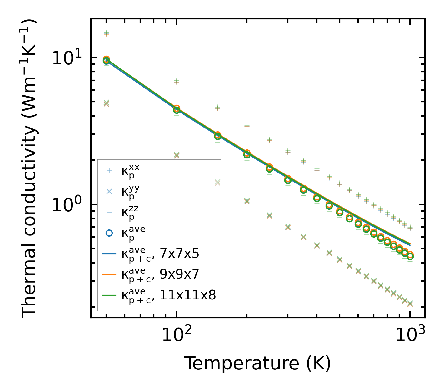
Thermal conductivity

3-phonon (LASSO) — q-mesh: 11x11x8, supercell: 3x1x2

../../_images/fig_kappa7463.png

(a) Temperature-dependent lattice thermal conductivity

../../_images/fig_kappa_vs_grain_size4009.png

(b) Peierls lattice thermal conductivity w.r.t grain size

Phonon lifetime and scattering rates

../../_images/fig_lifetime3921.png

(a) Phonon lifetime due to phonon-phonon scattering

../../_images/fig_scat_rates3920.png

(b) Phonon scattering rates

Cumulative and spectral thermal conductivity

../../_images/fig_cumu_frequency3921.png

(a) Spectral and cumulative thermal conductivity w.r.t frequency

../../_images/fig_cumu_mfp3920.png

(b) Spectral and cumulative thermal conductivity w.r.t MFP

Force constants

../../_images/fig_fc29644.png

(a) Force constants w.r.t atomic distance

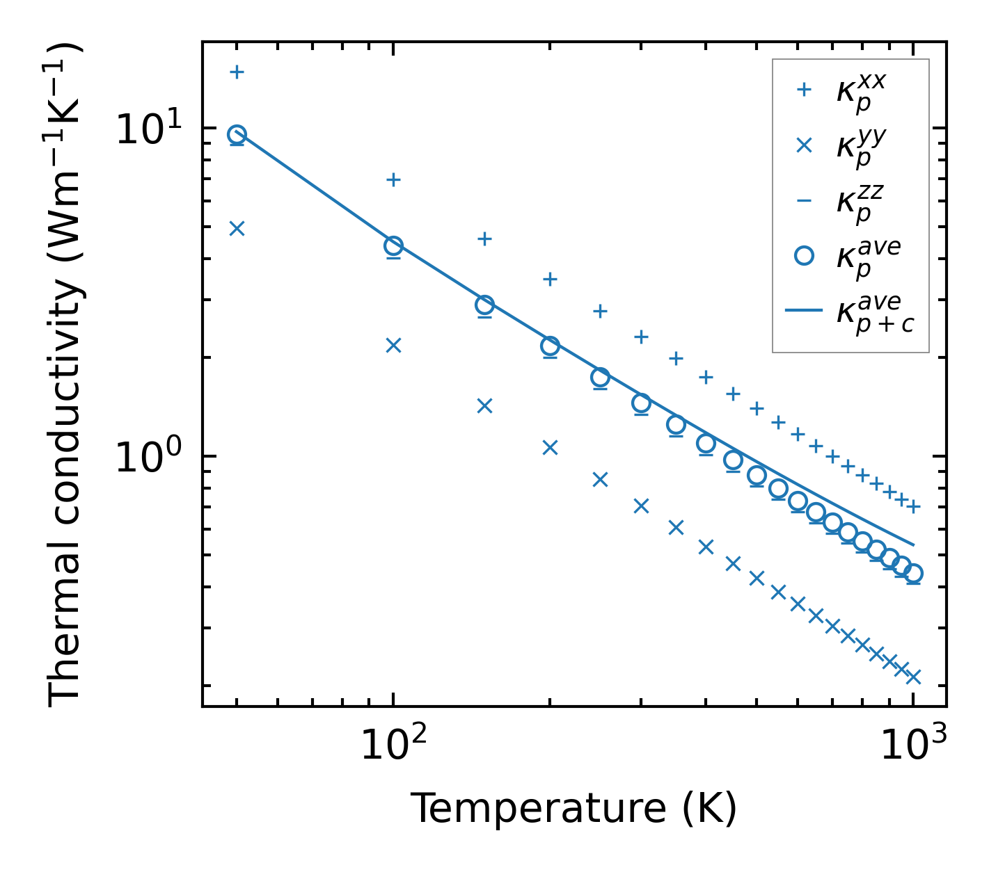
Summary

../../_images/fig_kappa7464.png

(a) Temperature-dependent lattice thermal conductivity

../../_images/fig_times17187.png

(b) Computation time