mp-505297/NbSbRu/anharm

Harmonic properties

../../_images/fig_bandos_pr9866.png

(a) Phonon dispersion with participation ratio and DOS

../../_images/fig_thermo9866.png

(b) Thermodynamic properties

Grüneisen parameters

../../_images/fig_gru_all3944.png

(a) Grüneisen parameters

../../_images/fig_gruneisen3944.png

(b) Phonon dispersion with Grüneisen parameters

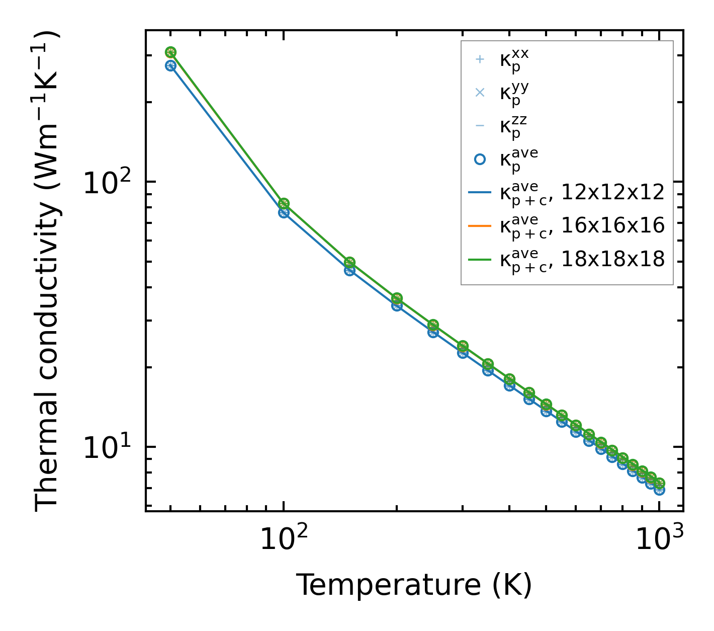
Thermal conductivity

3-phonon — q-mesh: 18x18x18, supercell: 2x2x2

../../_images/fig_kappa7435.png

(a) Temperature-dependent lattice thermal conductivity

../../_images/fig_kappa_vs_grain_size3995.png

(b) Peierls lattice thermal conductivity w.r.t grain size

Phonon lifetime and scattering rates

../../_images/fig_lifetime3907.png

(a) Phonon lifetime due to phonon-phonon scattering

../../_images/fig_scat_rates3906.png

(b) Phonon scattering rates

Cumulative and spectral thermal conductivity

../../_images/fig_cumu_frequency3907.png

(a) Spectral and cumulative thermal conductivity w.r.t frequency

../../_images/fig_cumu_mfp3906.png

(b) Spectral and cumulative thermal conductivity w.r.t MFP

Force constants

../../_images/fig_fc3246.png

(a) Force constants w.r.t atomic distance

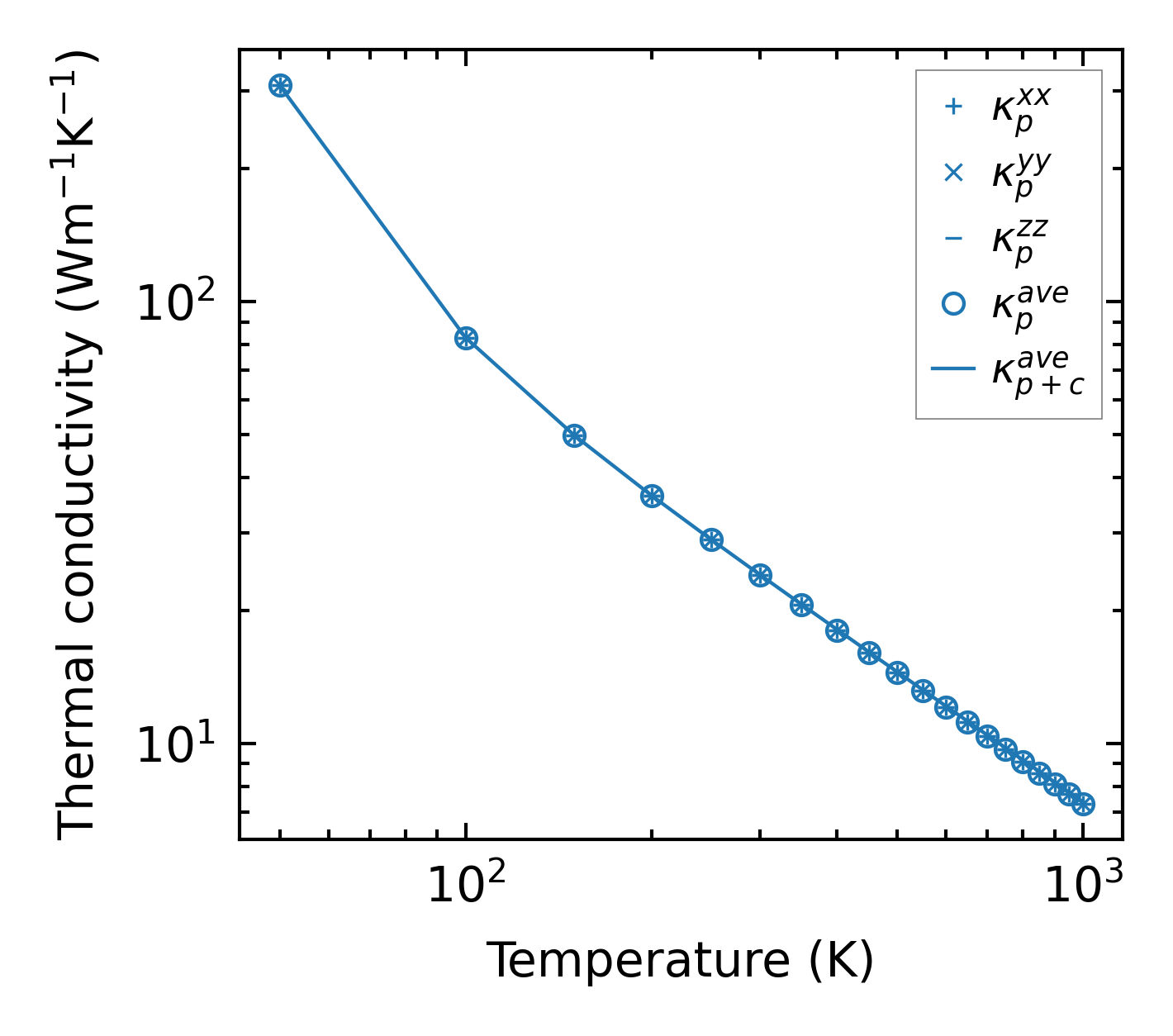
Summary

../../_images/fig_kappa7436.png

(a) Temperature-dependent lattice thermal conductivity

../../_images/fig_times17144.png

(b) Computation time