mp-505713/CsTmZnSe3/anharm

Harmonic properties

../../_images/fig_bandos_pr9891.png

(a) Phonon dispersion with participation ratio and DOS

../../_images/fig_thermo9891.png

(b) Thermodynamic properties

Grüneisen parameters

../../_images/fig_gru_all3959.png

(a) Grüneisen parameters

../../_images/fig_gruneisen3959.png

(b) Phonon dispersion with Grüneisen parameters

Thermal conductivity

3-phonon (LASSO) — q-mesh: 11x11x8, supercell: 3x1x2

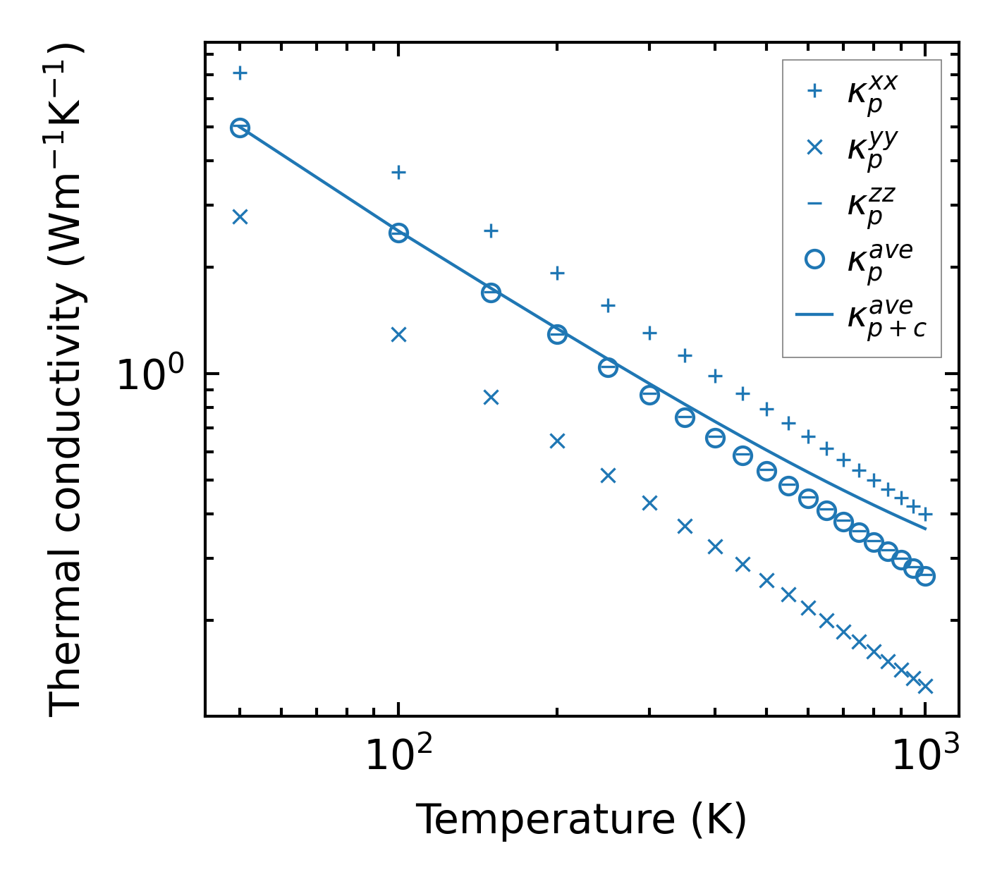
../../_images/fig_kappa7465.png

(a) Temperature-dependent lattice thermal conductivity

../../_images/fig_kappa_vs_grain_size4010.png

(b) Peierls lattice thermal conductivity w.r.t grain size

Phonon lifetime and scattering rates

../../_images/fig_lifetime3922.png

(a) Phonon lifetime due to phonon-phonon scattering

../../_images/fig_scat_rates3921.png

(b) Phonon scattering rates

Cumulative and spectral thermal conductivity

../../_images/fig_cumu_frequency3922.png

(a) Spectral and cumulative thermal conductivity w.r.t frequency

../../_images/fig_cumu_mfp3921.png

(b) Spectral and cumulative thermal conductivity w.r.t MFP

Force constants

../../_images/fig_fc29645.png

(a) Force constants w.r.t atomic distance

Summary

../../_images/fig_kappa7466.png

(a) Temperature-dependent lattice thermal conductivity

../../_images/fig_times17188.png

(b) Computation time