mp-1095618/PtN2/anharm

Harmonic properties

../../_images/fig_bandos_pr16706.png

(a) Phonon dispersion with participation ratio and DOS

../../_images/fig_thermo16705.png

(b) Thermodynamic properties

Grüneisen parameters

../../_images/fig_gru_all7272.png

(a) Grüneisen parameters

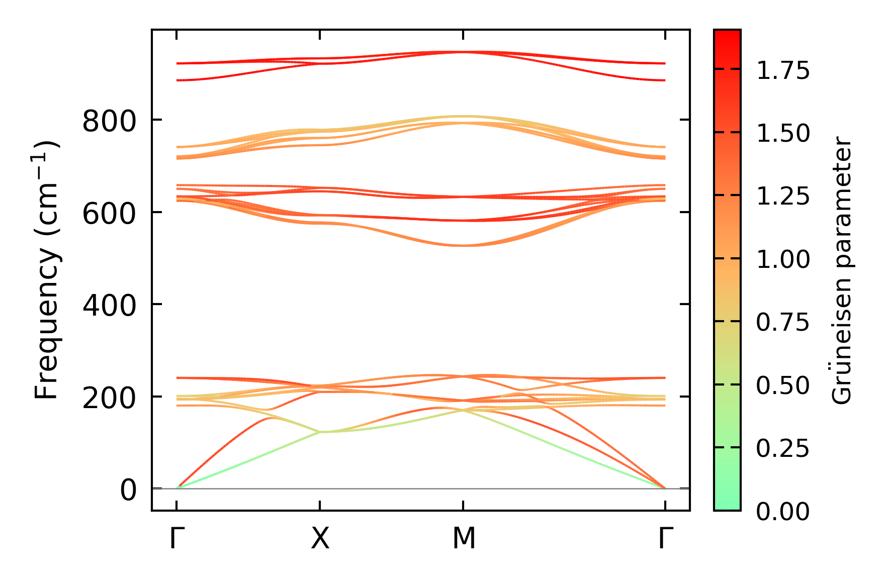
../../_images/fig_gruneisen7272.png

(b) Phonon dispersion with Grüneisen parameters

Thermal conductivity

3-phonon (LASSO) — q-mesh: 14x14x14, supercell: 2x2x2

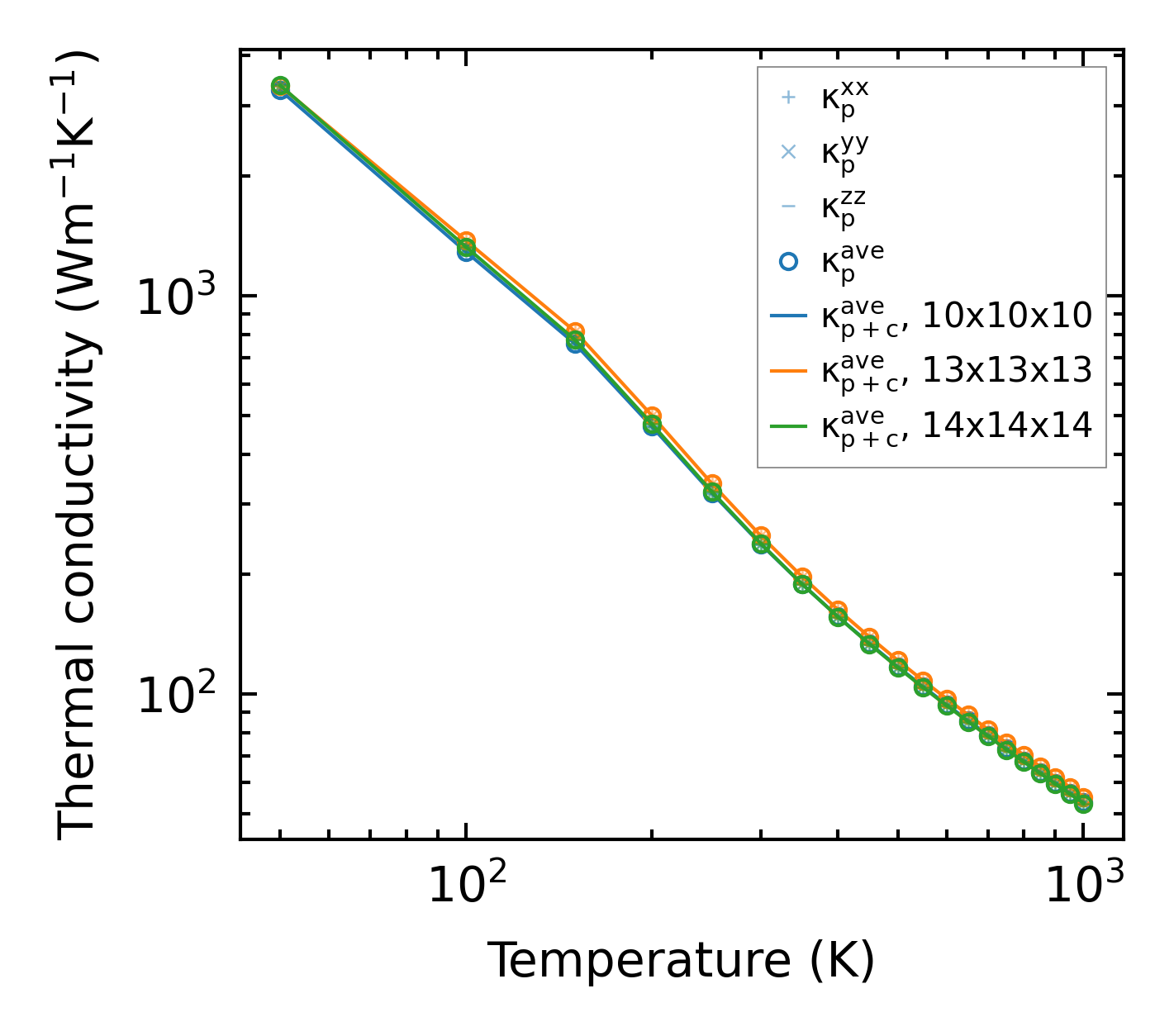
../../_images/fig_kappa13713.png

(a) Temperature-dependent lattice thermal conductivity

../../_images/fig_kappa_vs_grain_size7358.png

(b) Peierls lattice thermal conductivity w.r.t grain size

Phonon lifetime and scattering rates

../../_images/fig_lifetime7206.png

(a) Phonon lifetime due to phonon-phonon scattering

../../_images/fig_scat_rates7205.png

(b) Phonon scattering rates

Cumulative and spectral thermal conductivity

../../_images/fig_cumu_frequency7206.png

(a) Spectral and cumulative thermal conductivity w.r.t frequency

../../_images/fig_cumu_mfp7205.png

(b) Spectral and cumulative thermal conductivity w.r.t MFP

Force constants

../../_images/fig_fc216275.png

(a) Force constants w.r.t atomic distance

Summary

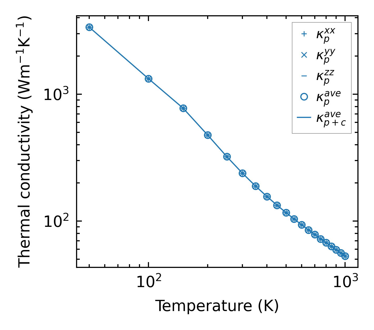
../../_images/fig_kappa13714.png

(a) Temperature-dependent lattice thermal conductivity

../../_images/fig_times27286.png

(b) Computation time