mp-1095499/CsAuCl4/anharm

Harmonic properties

../../_images/fig_bandos_pr16694.png

(a) Phonon dispersion with participation ratio and DOS

../../_images/fig_thermo16693.png

(b) Thermodynamic properties

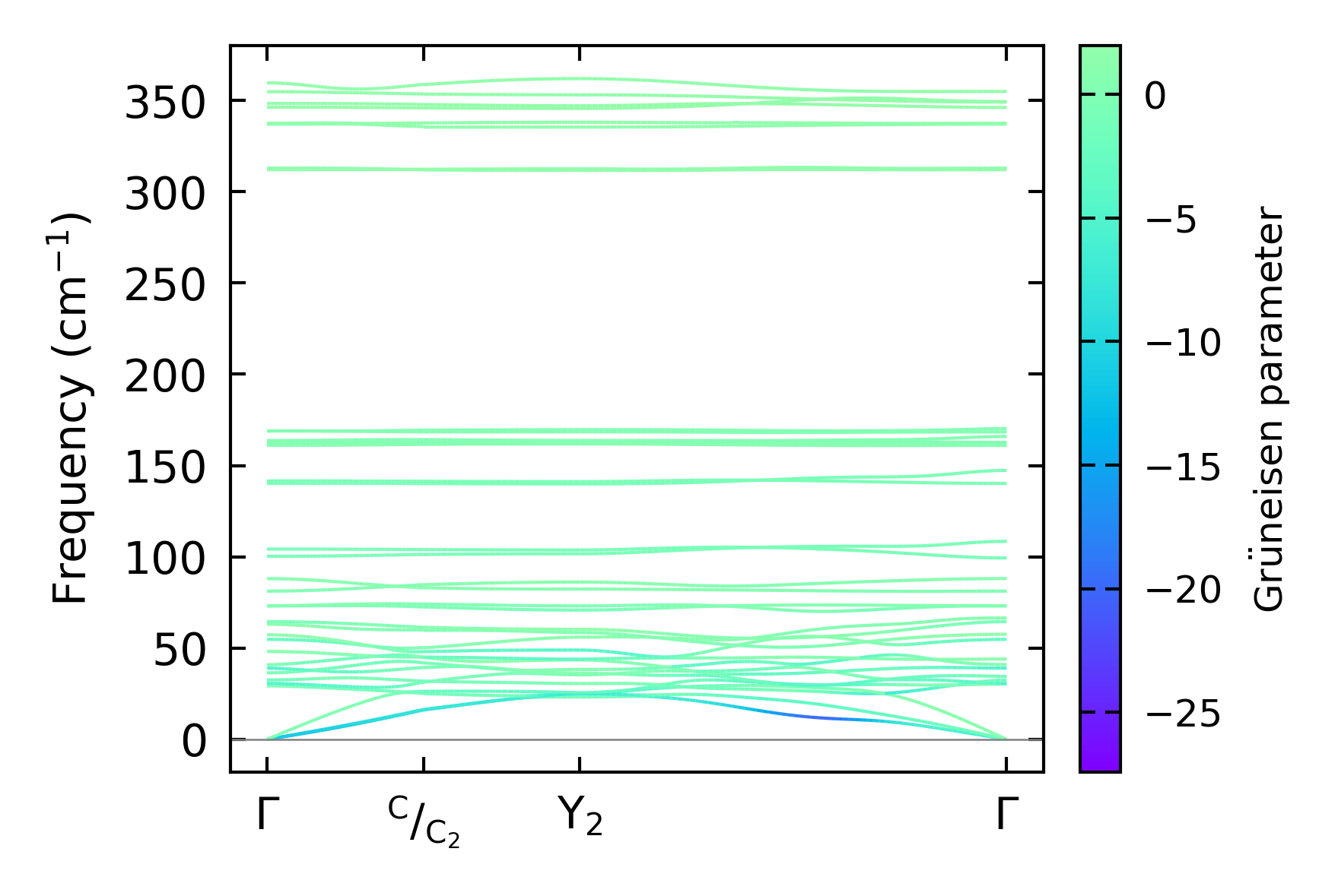
Grüneisen parameters

../../_images/fig_gru_all7262.png

(a) Grüneisen parameters

../../_images/fig_gruneisen7262.png

(b) Phonon dispersion with Grüneisen parameters

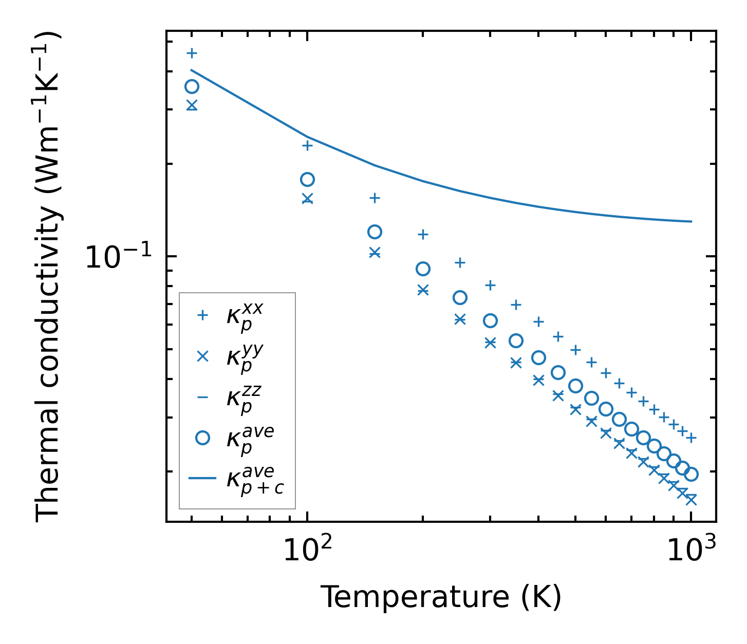
Thermal conductivity

3-phonon (LASSO) — q-mesh: 11x11x7, supercell: 1x3x2

../../_images/fig_kappa13694.png

(a) Temperature-dependent lattice thermal conductivity

../../_images/fig_kappa_vs_grain_size7348.png

(b) Peierls lattice thermal conductivity w.r.t grain size

Phonon lifetime and scattering rates

../../_images/fig_lifetime7196.png

(a) Phonon lifetime due to phonon-phonon scattering

../../_images/fig_scat_rates7195.png

(b) Phonon scattering rates

Cumulative and spectral thermal conductivity

../../_images/fig_cumu_frequency7196.png

(a) Spectral and cumulative thermal conductivity w.r.t frequency

../../_images/fig_cumu_mfp7195.png

(b) Spectral and cumulative thermal conductivity w.r.t MFP

Force constants

../../_images/fig_fc216263.png

(a) Force constants w.r.t atomic distance

Summary

../../_images/fig_kappa13695.png

(a) Temperature-dependent lattice thermal conductivity

../../_images/fig_times27273.png

(b) Computation time