mp-1095534/C/anharm

Harmonic properties

../../_images/fig_bandos_pr16699.png

(a) Phonon dispersion with participation ratio and DOS

../../_images/fig_thermo16698.png

(b) Thermodynamic properties

Grüneisen parameters

../../_images/fig_gru_all7265.png

(a) Grüneisen parameters

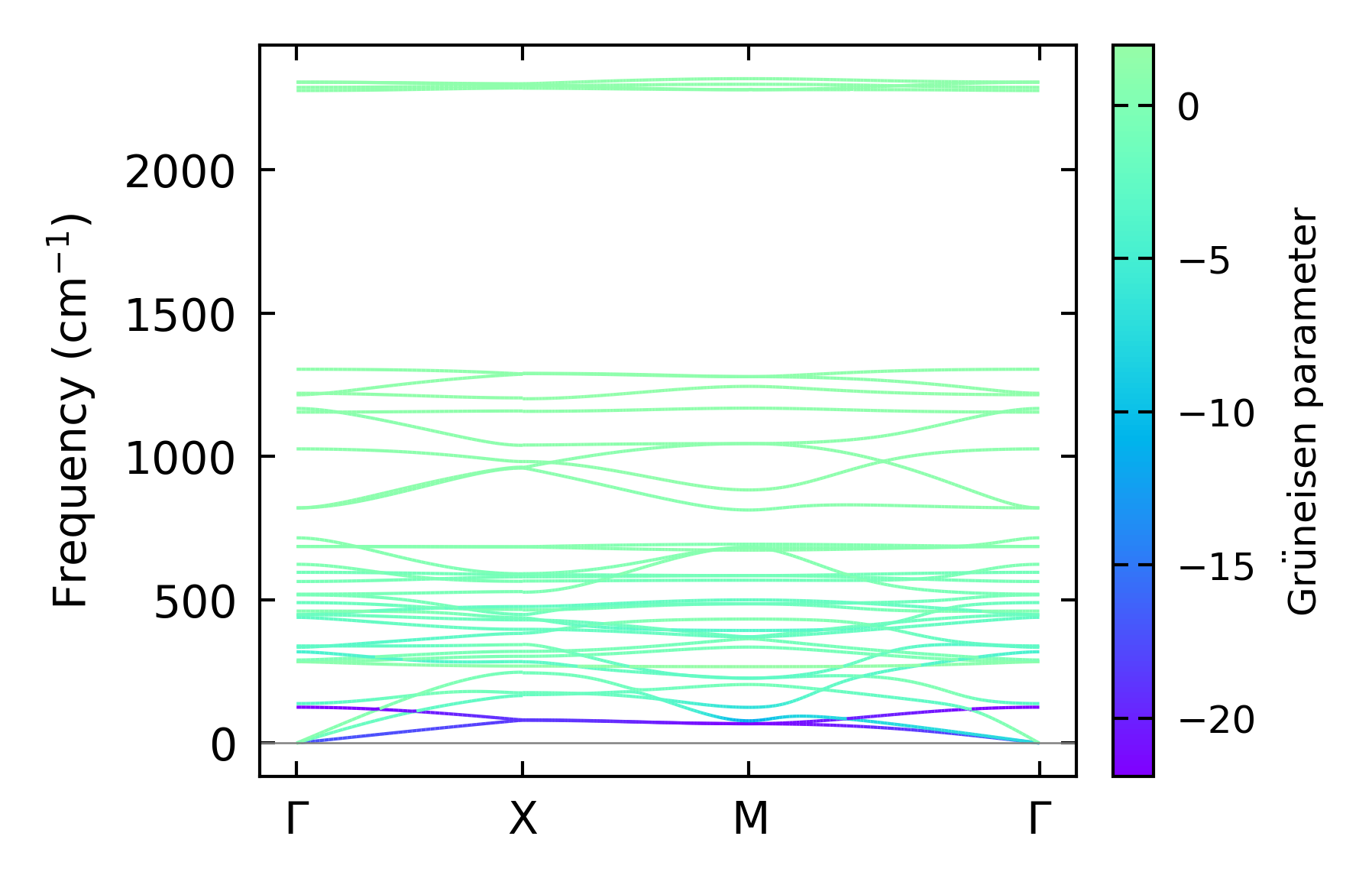
../../_images/fig_gruneisen7265.png

(b) Phonon dispersion with Grüneisen parameters

Thermal conductivity

3-phonon (LASSO) — q-mesh: 14x14x14, supercell: 1x1x4

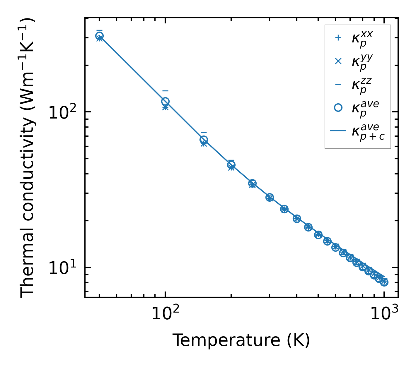
../../_images/fig_kappa13699.png

(a) Temperature-dependent lattice thermal conductivity

../../_images/fig_kappa_vs_grain_size7351.png

(b) Peierls lattice thermal conductivity w.r.t grain size

Phonon lifetime and scattering rates

../../_images/fig_lifetime7199.png

(a) Phonon lifetime due to phonon-phonon scattering

../../_images/fig_scat_rates7198.png

(b) Phonon scattering rates

Cumulative and spectral thermal conductivity

../../_images/fig_cumu_frequency7199.png

(a) Spectral and cumulative thermal conductivity w.r.t frequency

../../_images/fig_cumu_mfp7198.png

(b) Spectral and cumulative thermal conductivity w.r.t MFP

Force constants

../../_images/fig_fc216268.png

(a) Force constants w.r.t atomic distance

Summary

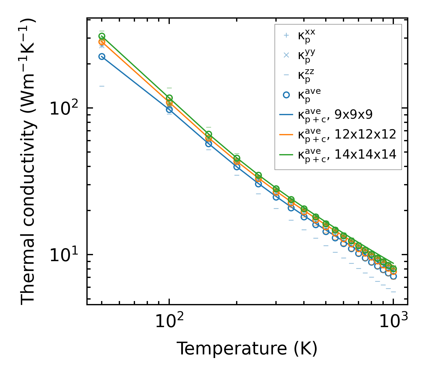
../../_images/fig_kappa13700.png

(a) Temperature-dependent lattice thermal conductivity

../../_images/fig_times27279.png

(b) Computation time