mp-1095571/DyVO4/anharm

Harmonic properties

../../_images/fig_bandos_pr16700.png

(a) Phonon dispersion with participation ratio and DOS

../../_images/fig_thermo16699.png

(b) Thermodynamic properties

Grüneisen parameters

../../_images/fig_gru_all7266.png

(a) Grüneisen parameters

../../_images/fig_gruneisen7266.png

(b) Phonon dispersion with Grüneisen parameters

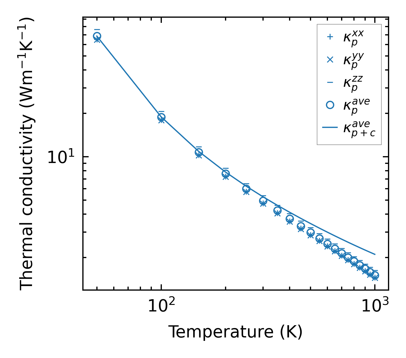
Thermal conductivity

3-phonon (LASSO) — q-mesh: 13x13x13, supercell: 2x2x1

../../_images/fig_kappa13701.png

(a) Temperature-dependent lattice thermal conductivity

../../_images/fig_kappa_vs_grain_size7352.png

(b) Peierls lattice thermal conductivity w.r.t grain size

Phonon lifetime and scattering rates

../../_images/fig_lifetime7200.png

(a) Phonon lifetime due to phonon-phonon scattering

../../_images/fig_scat_rates7199.png

(b) Phonon scattering rates

Cumulative and spectral thermal conductivity

../../_images/fig_cumu_frequency7200.png

(a) Spectral and cumulative thermal conductivity w.r.t frequency

../../_images/fig_cumu_mfp7199.png

(b) Spectral and cumulative thermal conductivity w.r.t MFP

Force constants

../../_images/fig_fc216269.png

(a) Force constants w.r.t atomic distance

Summary

../../_images/fig_kappa13702.png

(a) Temperature-dependent lattice thermal conductivity

../../_images/fig_times27280.png

(b) Computation time