mp-1095467/Tm2Si2O7/anharm

Equation of state

../../_images/fig_bm7744.png

(a) Equation of state

Harmonic properties

../../_images/fig_bandos_pr16688.png

(a) Phonon dispersion with participation ratio and DOS

../../_images/fig_thermo16687.png

(b) Thermodynamic properties

Grüneisen parameters

../../_images/fig_gru_all7259.png

(a) Grüneisen parameters

../../_images/fig_gruneisen7259.png

(b) Phonon dispersion with Grüneisen parameters

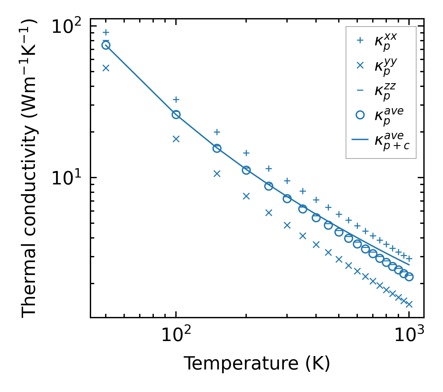
Thermal conductivity

3-phonon (LASSO) — q-mesh: 13x13x15, supercell: 2x1x2

../../_images/fig_kappa13689.png

(a) Temperature-dependent lattice thermal conductivity

../../_images/fig_kappa_vs_grain_size7345.png

(b) Peierls lattice thermal conductivity w.r.t grain size

Phonon lifetime and scattering rates

../../_images/fig_lifetime7193.png

(a) Phonon lifetime due to phonon-phonon scattering

../../_images/fig_scat_rates7192.png

(b) Phonon scattering rates

Cumulative and spectral thermal conductivity

../../_images/fig_cumu_frequency7193.png

(a) Spectral and cumulative thermal conductivity w.r.t frequency

../../_images/fig_cumu_mfp7192.png

(b) Spectral and cumulative thermal conductivity w.r.t MFP

Force constants

../../_images/fig_fc216257.png

(a) Force constants w.r.t atomic distance

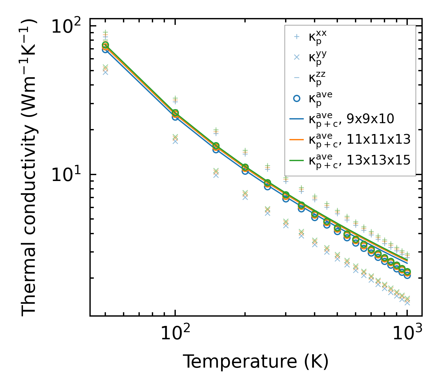
Summary

../../_images/fig_kappa13690.png

(a) Temperature-dependent lattice thermal conductivity

../../_images/fig_times27267.png

(b) Computation time