mp-1095616/BaNdAgS3/anharm

Harmonic properties

../../_images/fig_bandos_pr16705.png

(a) Phonon dispersion with participation ratio and DOS

../../_images/fig_thermo16704.png

(b) Thermodynamic properties

Grüneisen parameters

../../_images/fig_gru_all7271.png

(a) Grüneisen parameters

../../_images/fig_gruneisen7271.png

(b) Phonon dispersion with Grüneisen parameters

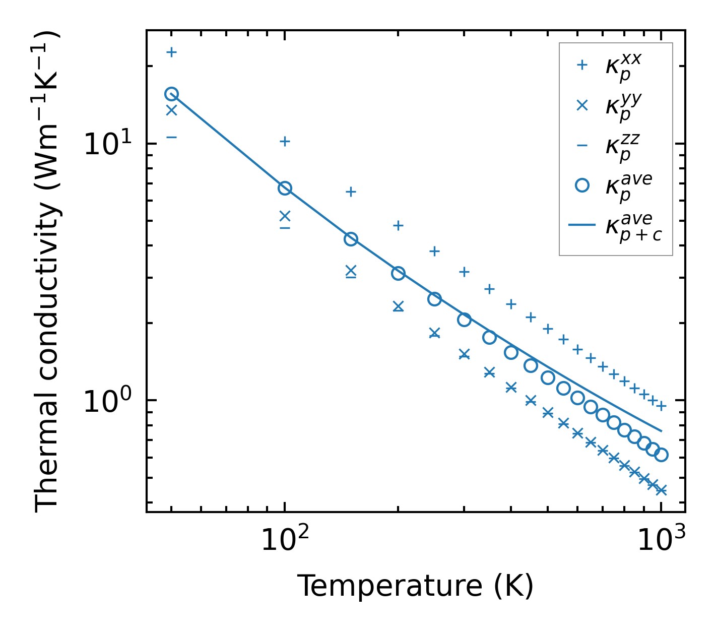
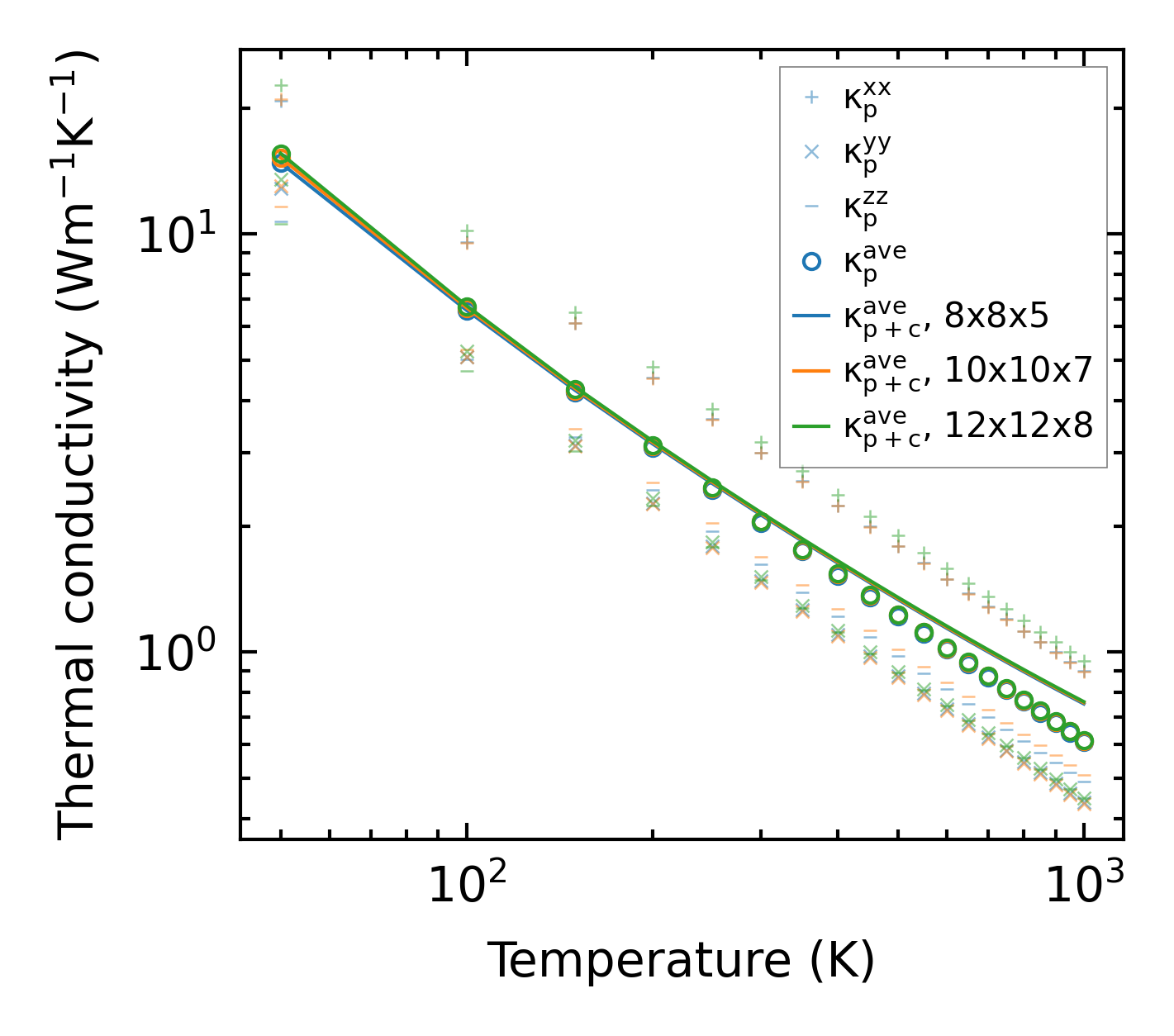
Thermal conductivity

3-phonon (LASSO) — q-mesh: 12x12x8, supercell: 3x1x2

../../_images/fig_kappa13711.png

(a) Temperature-dependent lattice thermal conductivity

../../_images/fig_kappa_vs_grain_size7357.png

(b) Peierls lattice thermal conductivity w.r.t grain size

Phonon lifetime and scattering rates

../../_images/fig_lifetime7205.png

(a) Phonon lifetime due to phonon-phonon scattering

../../_images/fig_scat_rates7204.png

(b) Phonon scattering rates

Cumulative and spectral thermal conductivity

../../_images/fig_cumu_frequency7205.png

(a) Spectral and cumulative thermal conductivity w.r.t frequency

../../_images/fig_cumu_mfp7204.png

(b) Spectral and cumulative thermal conductivity w.r.t MFP

Force constants

../../_images/fig_fc216274.png

(a) Force constants w.r.t atomic distance

Summary

../../_images/fig_kappa13712.png

(a) Temperature-dependent lattice thermal conductivity

../../_images/fig_times27285.png

(b) Computation time