mp-1095403/BaTbCuTe3/anharm

Harmonic properties

../../_images/fig_bandos_pr16684.png

(a) Phonon dispersion with participation ratio and DOS

../../_images/fig_thermo16683.png

(b) Thermodynamic properties

Grüneisen parameters

../../_images/fig_gru_all7255.png

(a) Grüneisen parameters

../../_images/fig_gruneisen7255.png

(b) Phonon dispersion with Grüneisen parameters

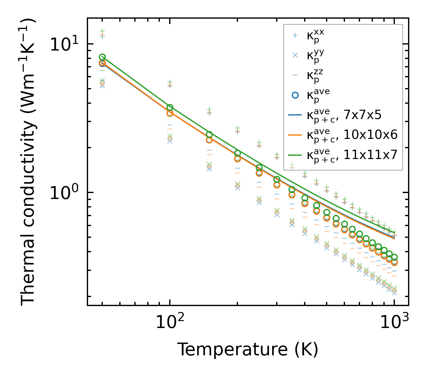
Thermal conductivity

3-phonon (LASSO) — q-mesh: 11x11x7, supercell: 3x1x2

../../_images/fig_kappa13681.png

(a) Temperature-dependent lattice thermal conductivity

../../_images/fig_kappa_vs_grain_size7341.png

(b) Peierls lattice thermal conductivity w.r.t grain size

Phonon lifetime and scattering rates

../../_images/fig_lifetime7189.png

(a) Phonon lifetime due to phonon-phonon scattering

../../_images/fig_scat_rates7188.png

(b) Phonon scattering rates

Cumulative and spectral thermal conductivity

../../_images/fig_cumu_frequency7189.png

(a) Spectral and cumulative thermal conductivity w.r.t frequency

../../_images/fig_cumu_mfp7188.png

(b) Spectral and cumulative thermal conductivity w.r.t MFP

Force constants

../../_images/fig_fc216253.png

(a) Force constants w.r.t atomic distance

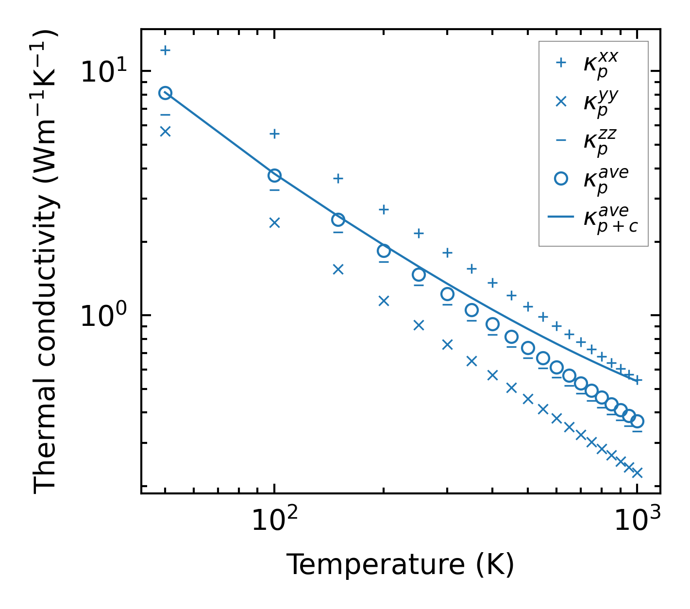
Summary

../../_images/fig_kappa13682.png

(a) Temperature-dependent lattice thermal conductivity

../../_images/fig_times27260.png

(b) Computation time