mp-1095270/Na5NpO6/anharm

Harmonic properties

../../_images/fig_bandos_pr16670.png

(a) Phonon dispersion with participation ratio and DOS

../../_images/fig_thermo16669.png

(b) Thermodynamic properties

Grüneisen parameters

../../_images/fig_gru_all7245.png

(a) Grüneisen parameters

../../_images/fig_gruneisen7245.png

(b) Phonon dispersion with Grüneisen parameters

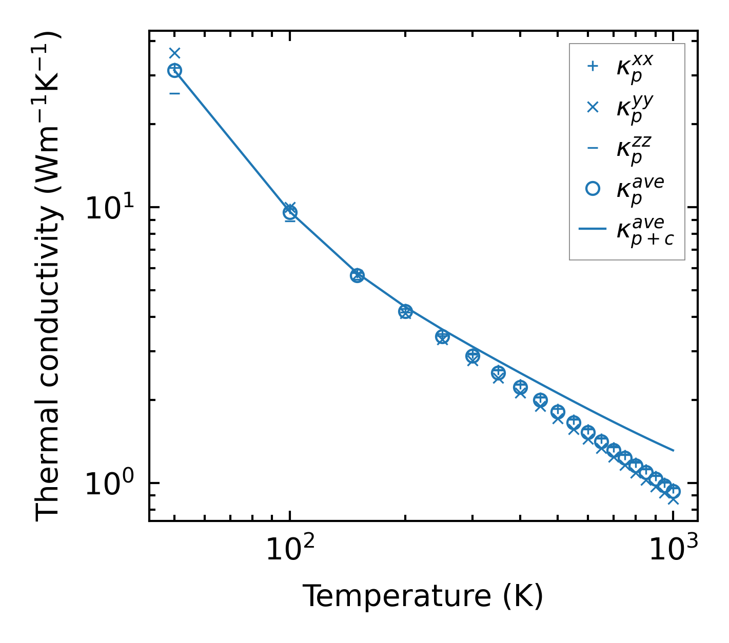
Thermal conductivity

3-phonon (LASSO) — q-mesh: 13x13x13, supercell: 2x1x2

../../_images/fig_kappa13661.png

(a) Temperature-dependent lattice thermal conductivity

../../_images/fig_kappa_vs_grain_size7331.png

(b) Peierls lattice thermal conductivity w.r.t grain size

Phonon lifetime and scattering rates

../../_images/fig_lifetime7179.png

(a) Phonon lifetime due to phonon-phonon scattering

../../_images/fig_scat_rates7178.png

(b) Phonon scattering rates

Cumulative and spectral thermal conductivity

../../_images/fig_cumu_frequency7179.png

(a) Spectral and cumulative thermal conductivity w.r.t frequency

../../_images/fig_cumu_mfp7178.png

(b) Spectral and cumulative thermal conductivity w.r.t MFP

Force constants

../../_images/fig_fc216240.png

(a) Force constants w.r.t atomic distance

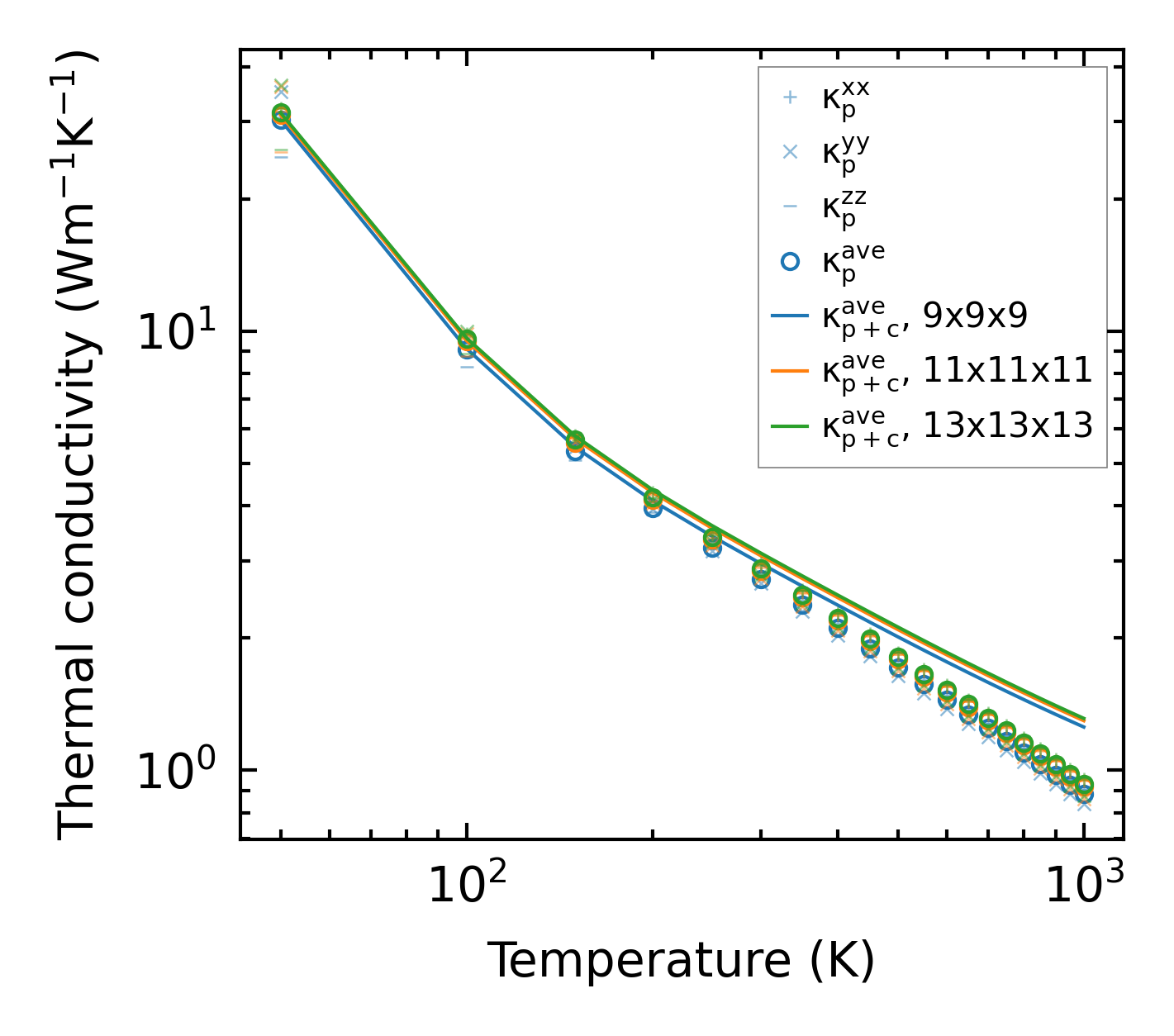
Summary

../../_images/fig_kappa13662.png

(a) Temperature-dependent lattice thermal conductivity

../../_images/fig_times27243.png

(b) Computation time