mp-1095397/SnS2/anharm

Harmonic properties

../../_images/fig_bandos_pr16683.png

(a) Phonon dispersion with participation ratio and DOS

../../_images/fig_thermo16682.png

(b) Thermodynamic properties

Grüneisen parameters

../../_images/fig_gru_all7254.png

(a) Grüneisen parameters

../../_images/fig_gruneisen7254.png

(b) Phonon dispersion with Grüneisen parameters

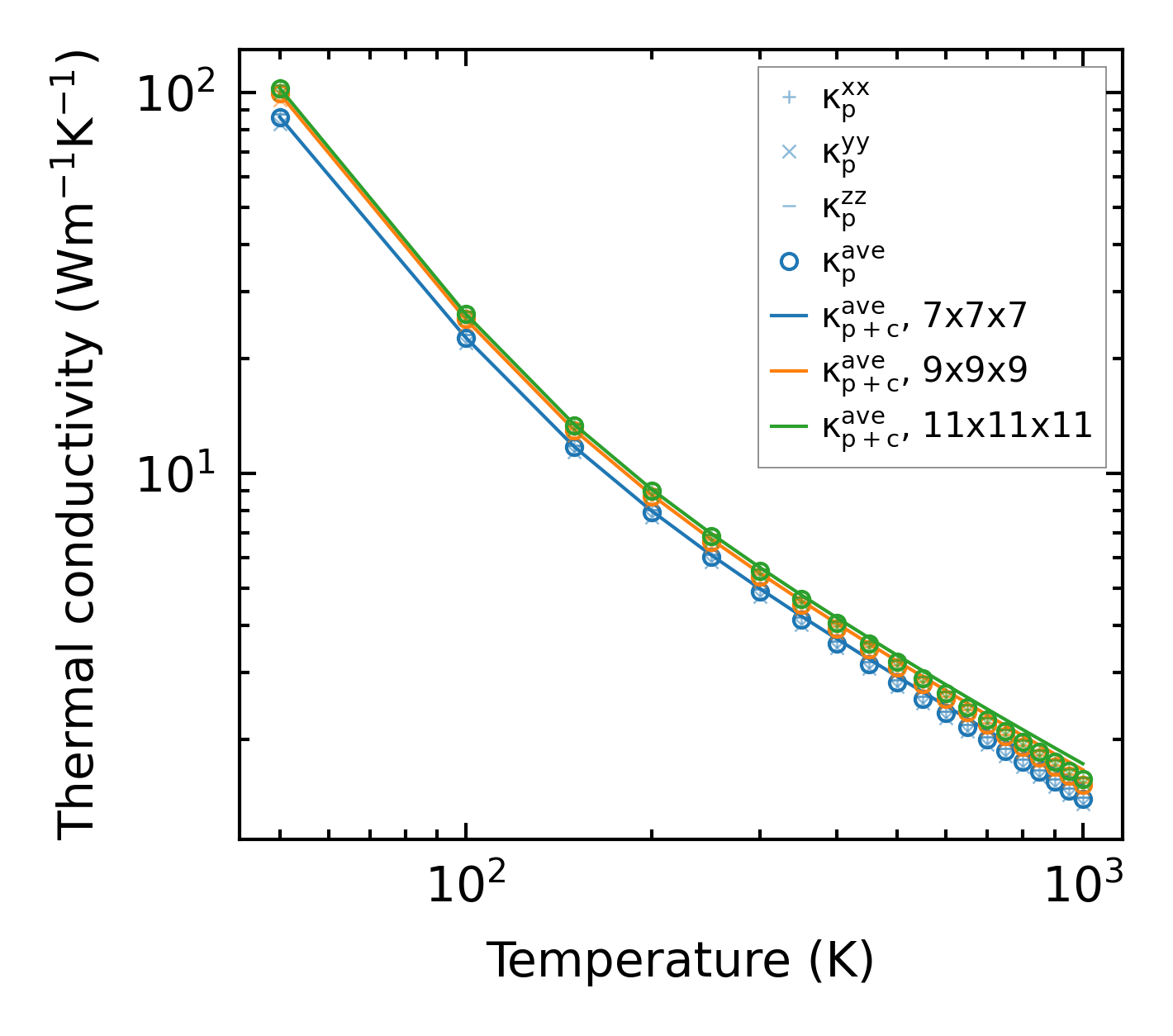
Thermal conductivity

3-phonon — q-mesh: 11x11x11, supercell: 1x1x1

../../_images/fig_kappa13679.png

(a) Temperature-dependent lattice thermal conductivity

../../_images/fig_kappa_vs_grain_size7340.png

(b) Peierls lattice thermal conductivity w.r.t grain size

Phonon lifetime and scattering rates

../../_images/fig_lifetime7188.png

(a) Phonon lifetime due to phonon-phonon scattering

../../_images/fig_scat_rates7187.png

(b) Phonon scattering rates

Cumulative and spectral thermal conductivity

../../_images/fig_cumu_frequency7188.png

(a) Spectral and cumulative thermal conductivity w.r.t frequency

../../_images/fig_cumu_mfp7187.png

(b) Spectral and cumulative thermal conductivity w.r.t MFP

Force constants

../../_images/fig_fc3431.png

(a) Force constants w.r.t atomic distance

Summary

../../_images/fig_kappa13680.png

(a) Temperature-dependent lattice thermal conductivity

../../_images/fig_times27259.png

(b) Computation time