mp-1095275/GeP/anharm

Harmonic properties

../../_images/fig_bandos_pr16671.png

(a) Phonon dispersion with participation ratio and DOS

../../_images/fig_thermo16670.png

(b) Thermodynamic properties

Grüneisen parameters

../../_images/fig_gru_all7246.png

(a) Grüneisen parameters

../../_images/fig_gruneisen7246.png

(b) Phonon dispersion with Grüneisen parameters

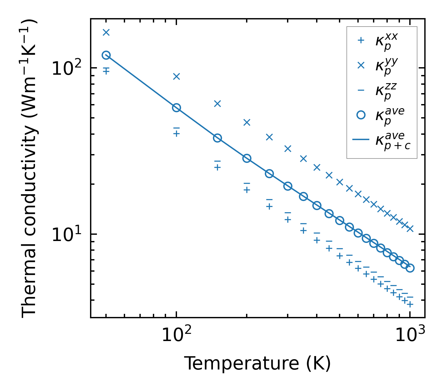
Thermal conductivity

3-phonon (LASSO) — q-mesh: 12x12x10, supercell: 1x3x2

../../_images/fig_kappa13663.png

(a) Temperature-dependent lattice thermal conductivity

../../_images/fig_kappa_vs_grain_size7332.png

(b) Peierls lattice thermal conductivity w.r.t grain size

Phonon lifetime and scattering rates

../../_images/fig_lifetime7180.png

(a) Phonon lifetime due to phonon-phonon scattering

../../_images/fig_scat_rates7179.png

(b) Phonon scattering rates

Cumulative and spectral thermal conductivity

../../_images/fig_cumu_frequency7180.png

(a) Spectral and cumulative thermal conductivity w.r.t frequency

../../_images/fig_cumu_mfp7179.png

(b) Spectral and cumulative thermal conductivity w.r.t MFP

Force constants

../../_images/fig_fc216241.png

(a) Force constants w.r.t atomic distance

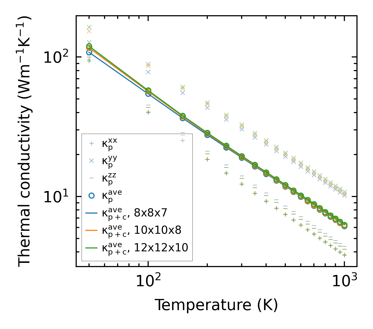
Summary

../../_images/fig_kappa13664.png

(a) Temperature-dependent lattice thermal conductivity

../../_images/fig_times27244.png

(b) Computation time