mp-1095520-2/KPd2O3/harm

Harmonic properties

../../_images/fig_bandos_pr16698.png

(a) Phonon dispersion with participation ratio and DOS

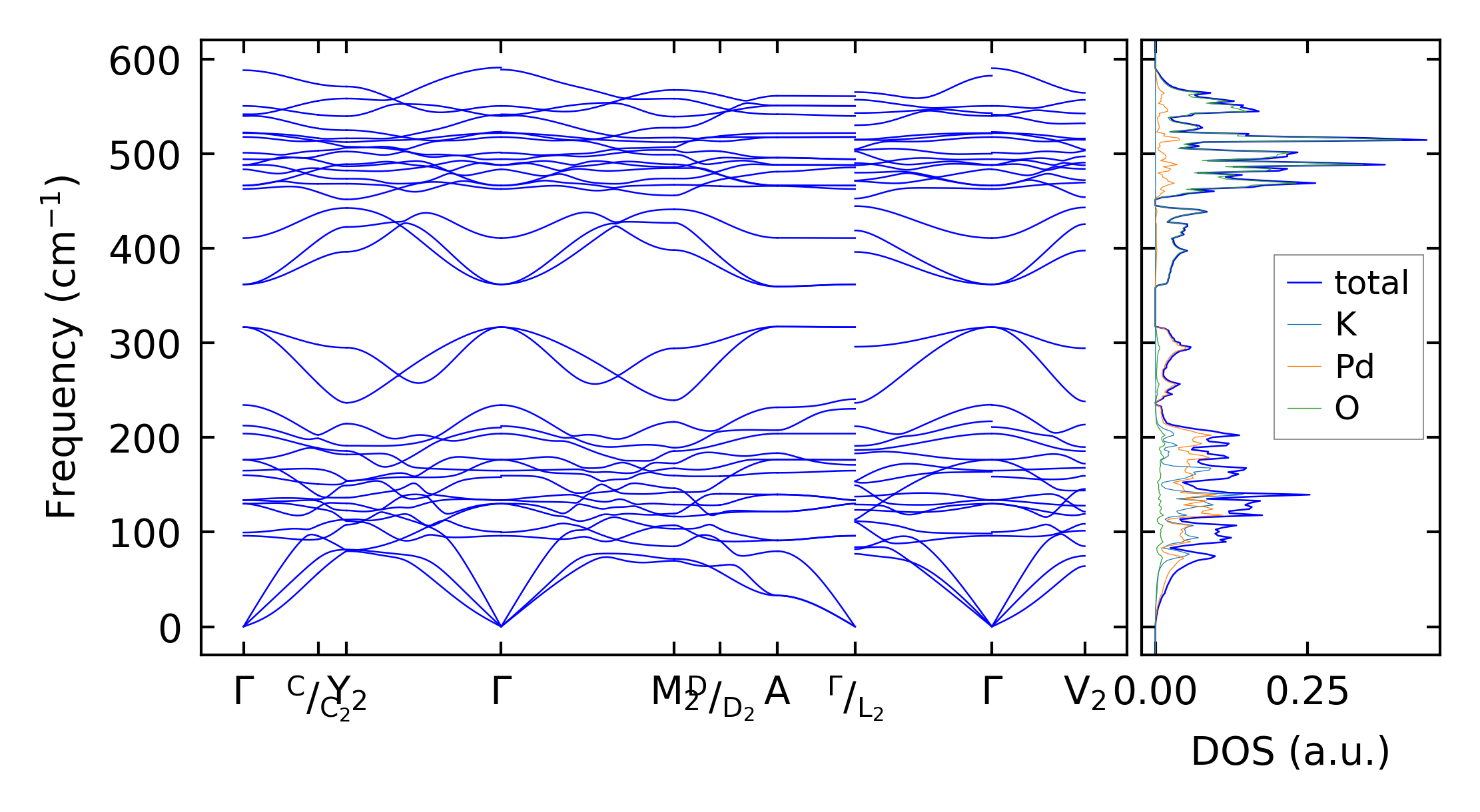
../../_images/fig_bandos21047.png

(b) Phonon dispersion and DOS

../../_images/fig_thermo16697.png

(c) Thermodynamic properties

Force constants

../../_images/fig_fc216267.png

(a) Force constants w.r.t atomic distance

Summary

../../_images/fig_times27277.png

(a) Computation time