mp-1095230/CaSeO4/anharm

Harmonic properties

../../_images/fig_bandos_pr16666.png

(a) Phonon dispersion with participation ratio and DOS

../../_images/fig_thermo16665.png

(b) Thermodynamic properties

Grüneisen parameters

../../_images/fig_gru_all7242.png

(a) Grüneisen parameters

../../_images/fig_gruneisen7242.png

(b) Phonon dispersion with Grüneisen parameters

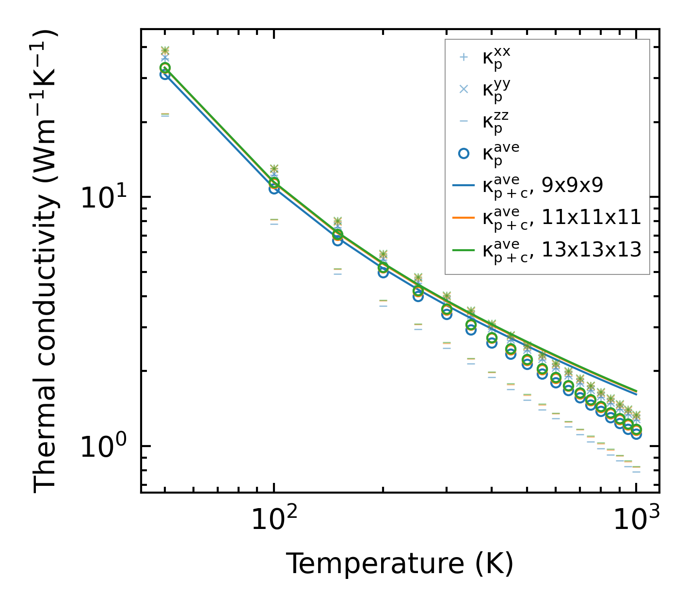
Thermal conductivity

3-phonon (LASSO) — q-mesh: 13x13x13, supercell: 2x2x1

../../_images/fig_kappa13655.png

(a) Temperature-dependent lattice thermal conductivity

../../_images/fig_kappa_vs_grain_size7328.png

(b) Peierls lattice thermal conductivity w.r.t grain size

Phonon lifetime and scattering rates

../../_images/fig_lifetime7176.png

(a) Phonon lifetime due to phonon-phonon scattering

../../_images/fig_scat_rates7175.png

(b) Phonon scattering rates

Cumulative and spectral thermal conductivity

../../_images/fig_cumu_frequency7176.png

(a) Spectral and cumulative thermal conductivity w.r.t frequency

../../_images/fig_cumu_mfp7175.png

(b) Spectral and cumulative thermal conductivity w.r.t MFP

Force constants

../../_images/fig_fc216236.png

(a) Force constants w.r.t atomic distance

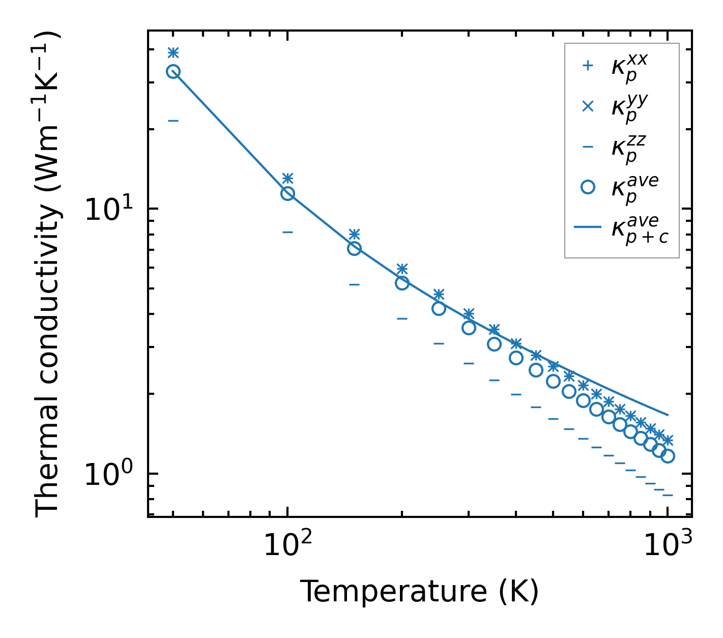
Summary

../../_images/fig_kappa13656.png

(a) Temperature-dependent lattice thermal conductivity

../../_images/fig_times27239.png

(b) Computation time