mp-772968/LiTlPHO3/harm

Harmonic properties

../../_images/fig_bandos_pr2330.png

(a) Phonon dispersion with participation ratio and DOS

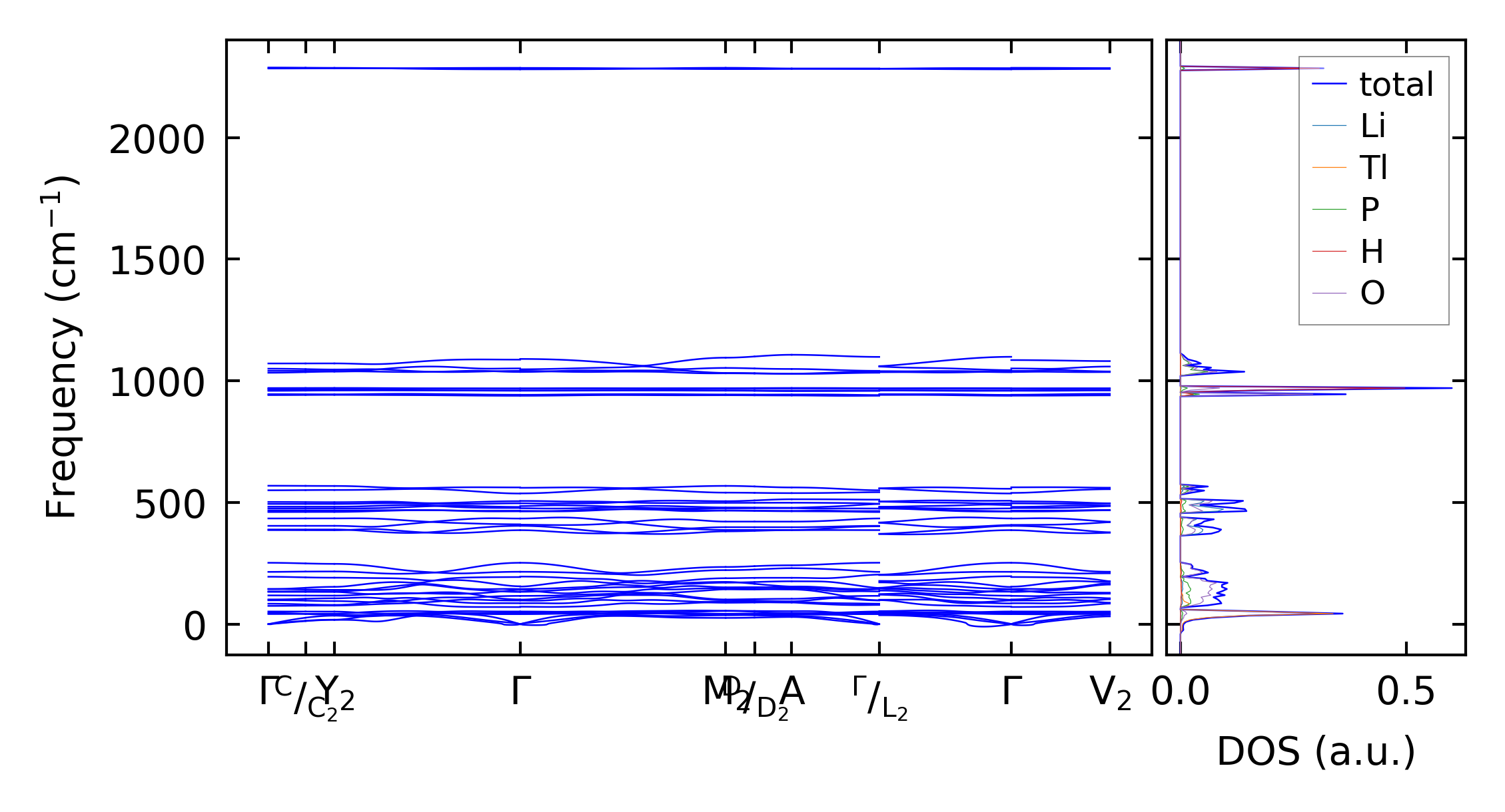
../../_images/fig_bandos2684.png

(b) Phonon dispersion and DOS

../../_images/fig_thermo2330.png

(c) Thermodynamic properties

Force constants

../../_images/fig_fc22151.png

(a) Force constants w.r.t atomic distance

Summary

../../_images/fig_times3818.png

(a) Computation time