mp-772617/ZnN2O6/anharm

Harmonic properties

../../_images/fig_bandos_pr2571.png

(a) Phonon dispersion with participation ratio and DOS

../../_images/fig_thermo2571.png

(b) Thermodynamic properties

Grüneisen parameters

../../_images/fig_gru_all1316.png

(a) Grüneisen parameters

../../_images/fig_gruneisen1316.png

(b) Phonon dispersion with Grüneisen parameters

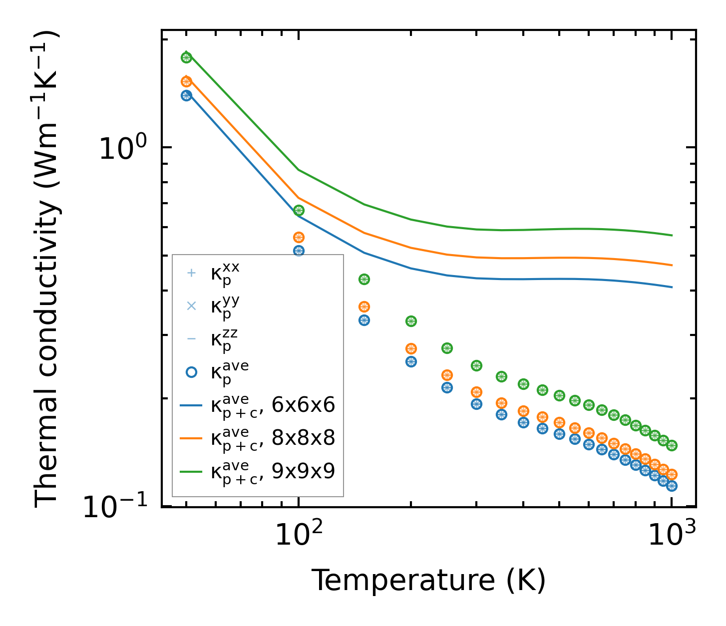
Thermal conductivity

3-phonon (LASSO) — q-mesh: 9x9x9, supercell: 1x1x1

../../_images/fig_kappa2533.png

(a) Temperature-dependent lattice thermal conductivity

../../_images/fig_kappa_vs_grain_size1332.png

(b) Peierls lattice thermal conductivity w.r.t grain size

Phonon lifetime and scattering rates

../../_images/fig_lifetime1306.png

(a) Phonon lifetime due to phonon-phonon scattering

../../_images/fig_scat_rates1305.png

(b) Phonon scattering rates

Cumulative and spectral thermal conductivity

../../_images/fig_cumu_frequency1306.png

(a) Spectral and cumulative thermal conductivity w.r.t frequency

../../_images/fig_cumu_mfp1306.png

(b) Spectral and cumulative thermal conductivity w.r.t MFP

Force constants

../../_images/fig_fc22392.png

(a) Force constants w.r.t atomic distance

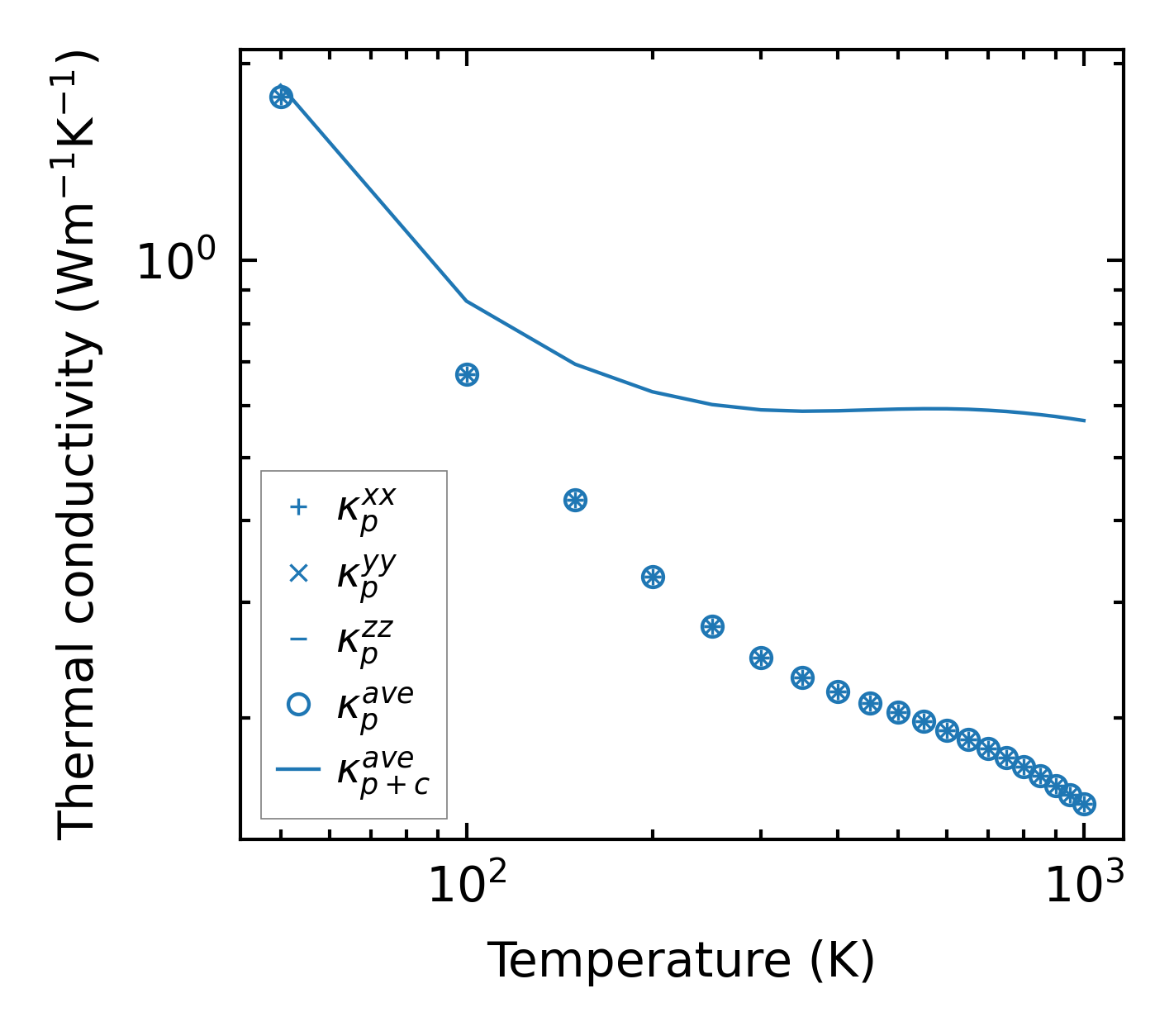
Summary

../../_images/fig_kappa2534.png

(a) Temperature-dependent lattice thermal conductivity

../../_images/fig_times4277.png

(b) Computation time