mp-772186/TmCl3O12/harm

Harmonic properties

../../_images/fig_bandos_pr2547.png

(a) Phonon dispersion with participation ratio and DOS

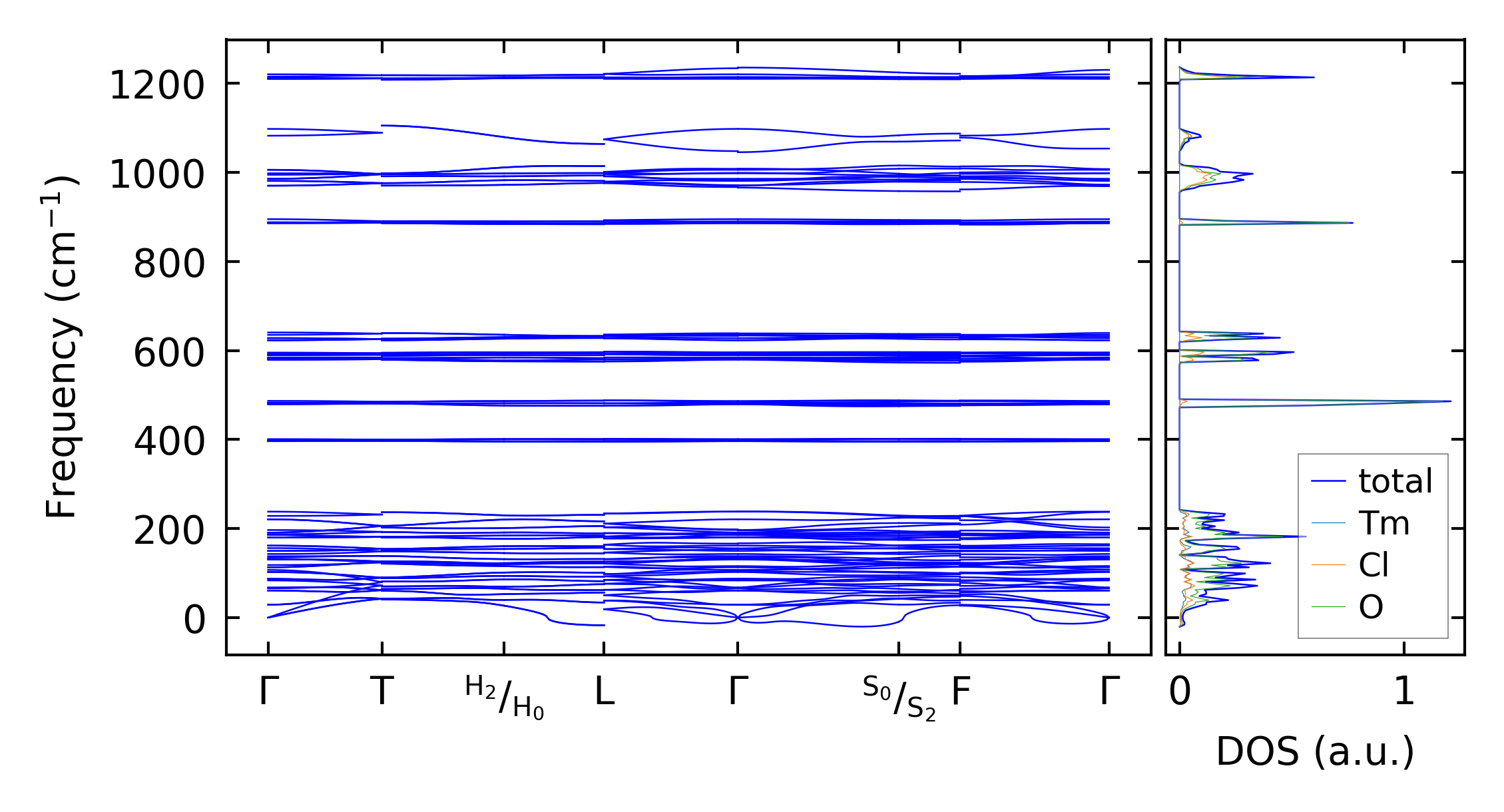
../../_images/fig_bandos3052.png

(b) Phonon dispersion and DOS

../../_images/fig_thermo2547.png

(c) Thermodynamic properties

Force constants

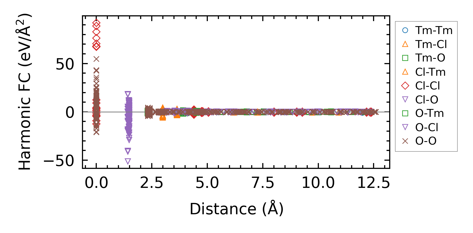
../../_images/fig_fc22368.png

(a) Force constants w.r.t atomic distance

Summary

../../_images/fig_times4221.png

(a) Computation time