mp-772188/DyErO3/anharm

Harmonic properties

../../_images/fig_bandos_pr2549.png

(a) Phonon dispersion with participation ratio and DOS

../../_images/fig_bandos3054.png

(b) Phonon dispersion and DOS

../../_images/fig_thermo2549.png

(c) Thermodynamic properties

Grüneisen parameters

../../_images/fig_gru_all1309.png

(a) Grüneisen parameters

../../_images/fig_gruneisen1309.png

(b) Phonon dispersion with Grüneisen parameters

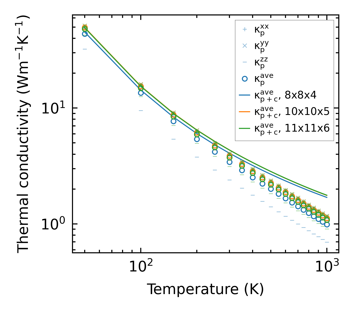
Thermal conductivity

3-phonon (LASSO) — q-mesh: 11x11x6, supercell: 1x2x1

../../_images/fig_kappa2519.png

(a) Temperature-dependent lattice thermal conductivity

../../_images/fig_kappa_vs_grain_size1325.png

(b) Peierls lattice thermal conductivity w.r.t grain size

Phonon lifetime and scattering rates

../../_images/fig_lifetime1299.png

(a) Phonon lifetime due to phonon-phonon scattering

../../_images/fig_scat_rates1298.png

(b) Phonon scattering rates

Cumulative and spectral thermal conductivity

../../_images/fig_cumu_frequency1299.png

(a) Spectral and cumulative thermal conductivity w.r.t frequency

../../_images/fig_cumu_mfp1299.png

(b) Spectral and cumulative thermal conductivity w.r.t MFP

Force constants

../../_images/fig_fc22370.png

(a) Force constants w.r.t atomic distance

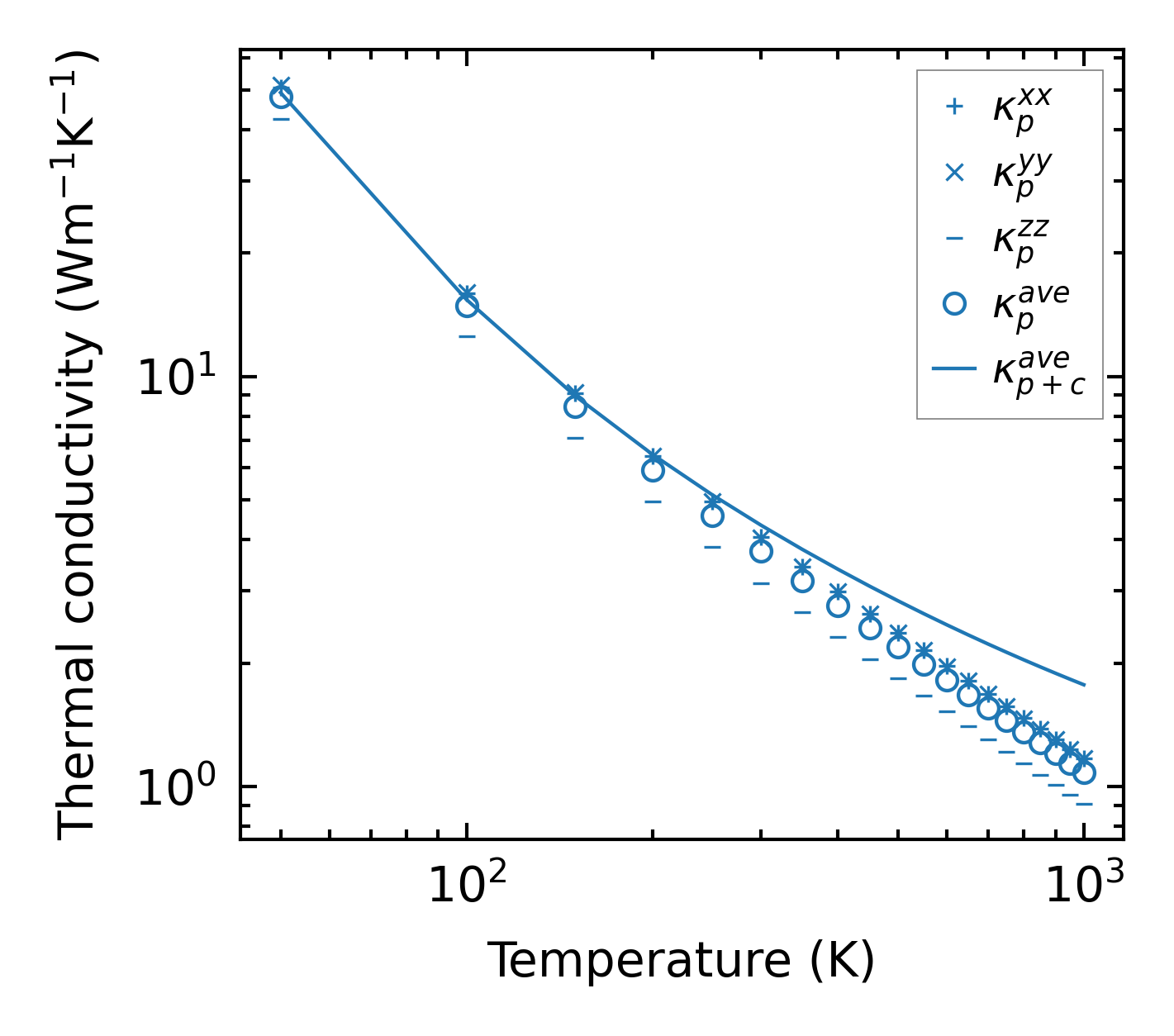
Summary

../../_images/fig_kappa2520.png

(a) Temperature-dependent lattice thermal conductivity

../../_images/fig_times4223.png

(b) Computation time